Open Access

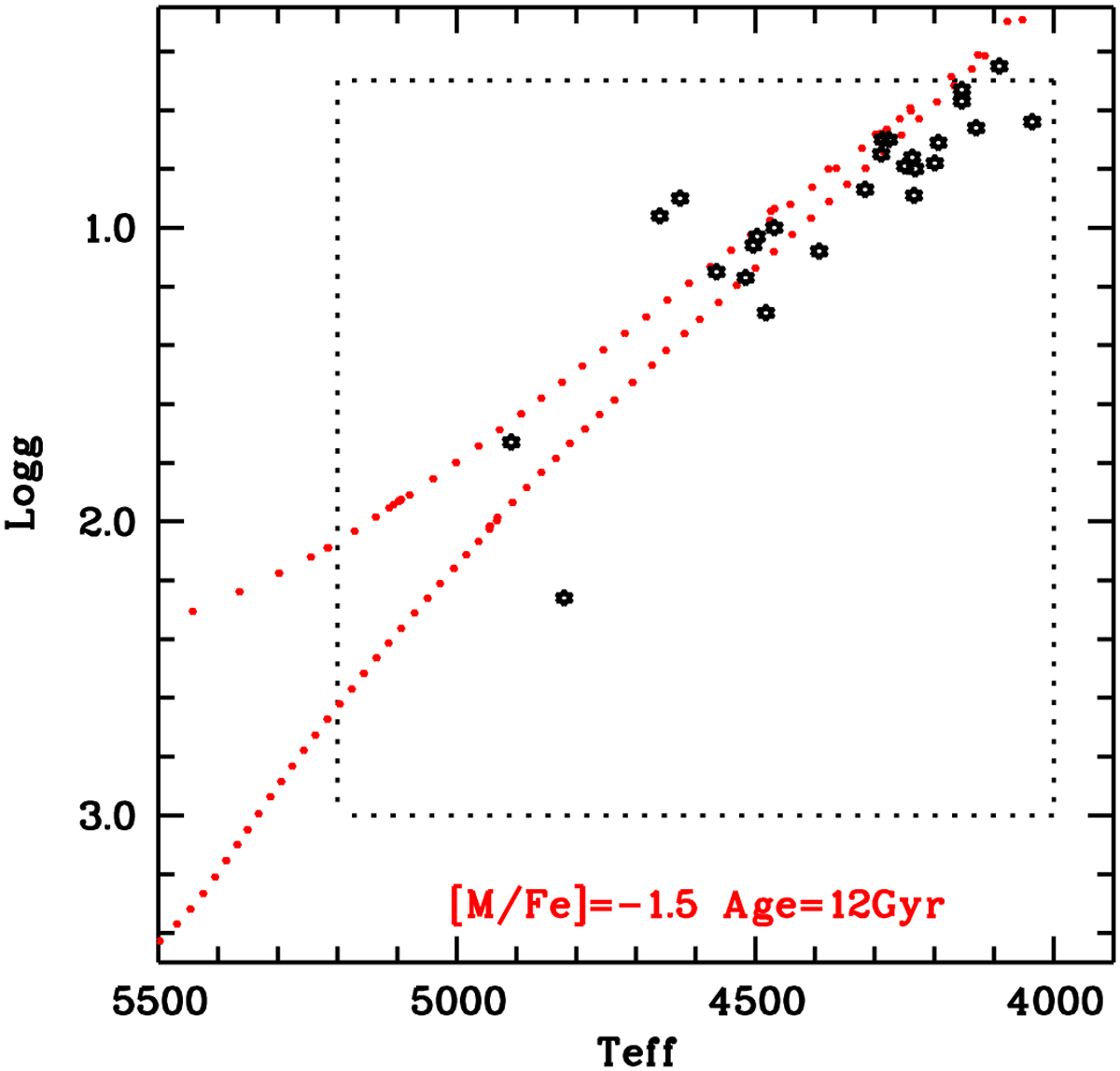
Fig. 1

image

Download original image

Teff, log g plot with the observed stars here analysed (black open stars) and a PARSEC (Bressan et al. 2012; Marigo et al. 2017) isochrone of 10 Gyr and metallicity −1.5 (red dots). The dotted lines delimit the grid used by MyGIsFOS in the chemical analysis.

Current usage metrics show cumulative count of Article Views (full-text article views including HTML views, PDF and ePub downloads, according to the available data) and Abstracts Views on Vision4Press platform.

Data correspond to usage on the plateform after 2015. The current usage metrics is available 48-96 hours after online publication and is updated daily on week days.

Initial download of the metrics may take a while.