Open Access
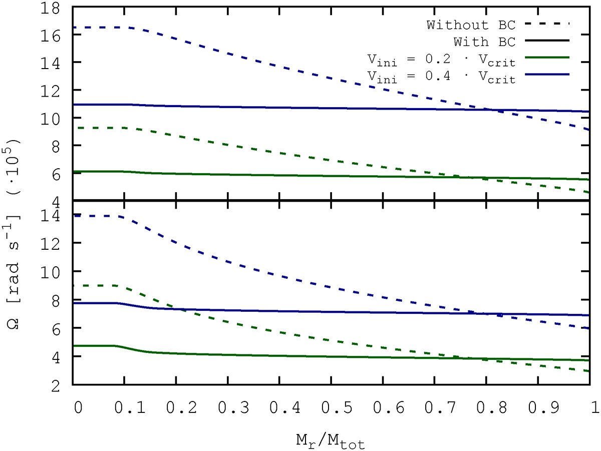
Fig. A.5.

Download original image
Angular rotation velocity profiles as a function of the normalized mass at the middle of the MS (Xc ∼ 0.35, top panel) and near the end of the MS (Xc ∼ 0.1, bottom panel). The colour codes and line styles have the same meaning as in Fig. 1.
Current usage metrics show cumulative count of Article Views (full-text article views including HTML views, PDF and ePub downloads, according to the available data) and Abstracts Views on Vision4Press platform.
Data correspond to usage on the plateform after 2015. The current usage metrics is available 48-96 hours after online publication and is updated daily on week days.
Initial download of the metrics may take a while.