Open Access
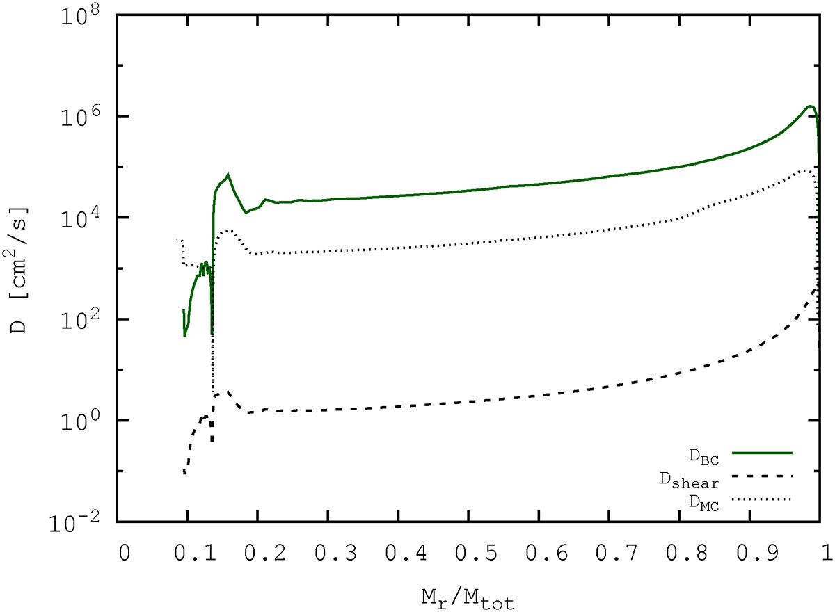
Fig. A.3.

Download original image
Diffusion coefficients for the BC instability (DBC; solid line), the shear instability (Dshear; dashed line), and the meridional circulation (DMC; dotted lines) for a model with BC and an initial rotation velocity of Vini = 0.2 ⋅ Vcrit in the middle of the MS (Xc ∼ 0.35).
Current usage metrics show cumulative count of Article Views (full-text article views including HTML views, PDF and ePub downloads, according to the available data) and Abstracts Views on Vision4Press platform.
Data correspond to usage on the plateform after 2015. The current usage metrics is available 48-96 hours after online publication and is updated daily on week days.
Initial download of the metrics may take a while.