Open Access

Fig. 7

image

Download original image

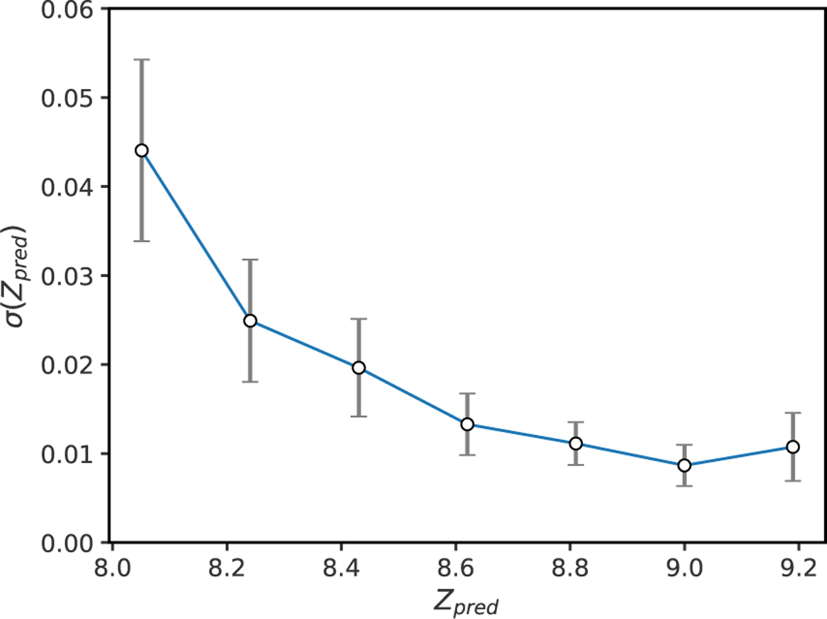
Uncertainty estimation of the metallicity regression branch using MC Dropout. The black circles represent the mean 1σ uncertainty (σ(Zpred)) within each bin of predicted metallicity (Zpred), and the vertical bars indicate the standard deviation of the uncertainty values within each bin.

Current usage metrics show cumulative count of Article Views (full-text article views including HTML views, PDF and ePub downloads, according to the available data) and Abstracts Views on Vision4Press platform.

Data correspond to usage on the plateform after 2015. The current usage metrics is available 48-96 hours after online publication and is updated daily on week days.

Initial download of the metrics may take a while.