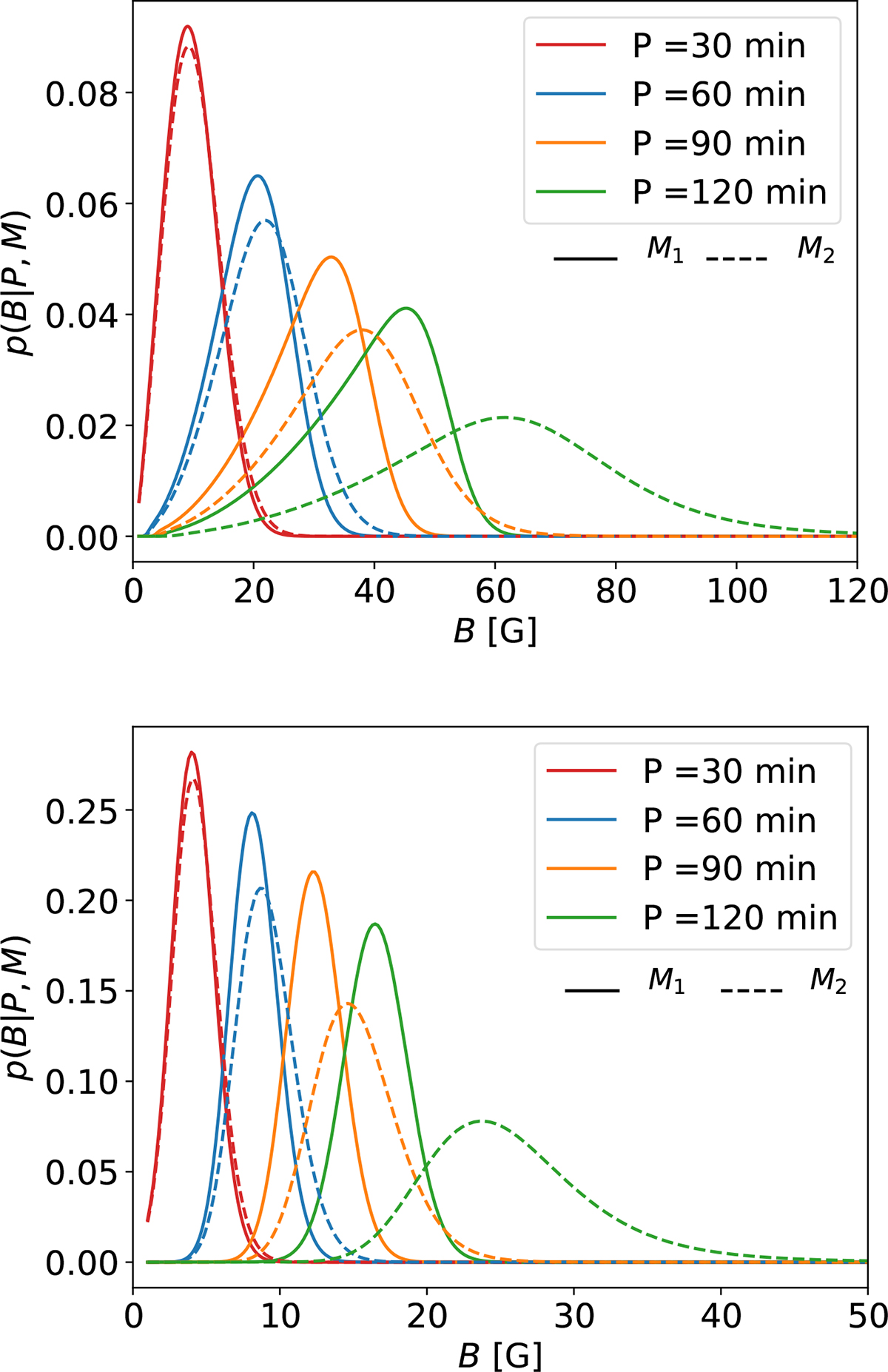
Fig. 3.

Download original image
Posterior densities for the minimum magnetic field strength for four values of the period under the original M1 (solid) and the extended M2 (dashed) pendulum models. The top panel displays results obtained with uniform priors, 𝒰(B [G]; 1, 100) and 𝒰(n [cm−3]; 109, 1011). The bottom panel shows the results obtained with 𝒰(B [G]; 1, 100) and a Gaussian prior on particle density, 𝒢(n [cm−3]; μn, σn), with μn = 1010 cm−3 and σn = 0.2μn. The numerical summaries of the posteriors are given in Table 1. A value of σP = 10 min and a 2D grid with Nn = NB = 800 points were considered.
Current usage metrics show cumulative count of Article Views (full-text article views including HTML views, PDF and ePub downloads, according to the available data) and Abstracts Views on Vision4Press platform.
Data correspond to usage on the plateform after 2015. The current usage metrics is available 48-96 hours after online publication and is updated daily on week days.
Initial download of the metrics may take a while.