Open Access
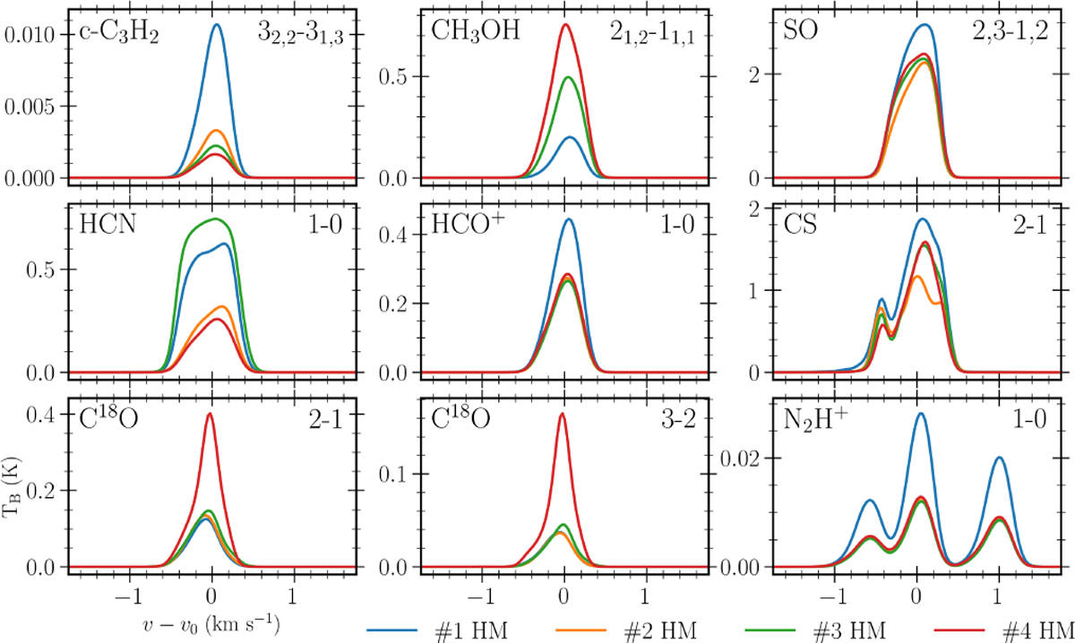
Fig. 8

Download original image
Line profiles as predicted by the fiducial model with HM abundances, 106 yr static phase, and
= 2 mag. The spectra were extracted toward the continuum peak in the x-y plane. A fixed 16O/18O ratio of 560 was used for the C18O abundance profiles.
Current usage metrics show cumulative count of Article Views (full-text article views including HTML views, PDF and ePub downloads, according to the available data) and Abstracts Views on Vision4Press platform.
Data correspond to usage on the plateform after 2015. The current usage metrics is available 48-96 hours after online publication and is updated daily on week days.
Initial download of the metrics may take a while.