Open Access

Fig. 6.

Fig. 6. Refer to the following caption and surrounding text.

Download original image

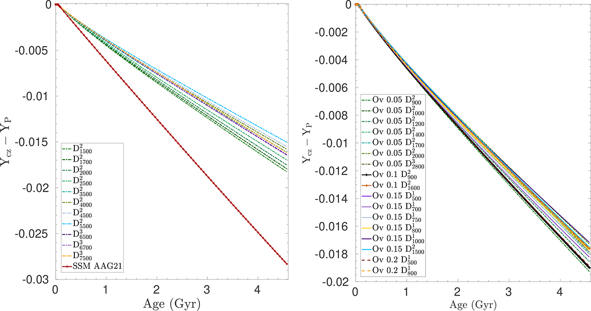
Left panel: Evolution of difference between the protosolar and surface abundance of helium (YCZ-YP) as a function of time for the models of Table 1. Right panel: Same as the left panel but for the models of Table 2.

Current usage metrics show cumulative count of Article Views (full-text article views including HTML views, PDF and ePub downloads, according to the available data) and Abstracts Views on Vision4Press platform.

Data correspond to usage on the plateform after 2015. The current usage metrics is available 48-96 hours after online publication and is updated daily on week days.

Initial download of the metrics may take a while.