Open Access

Fig. 13.

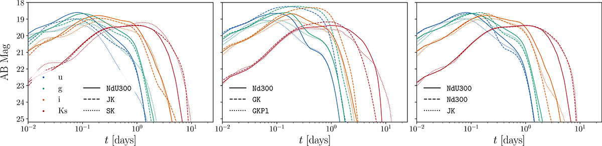
Fig. 13. Refer to the following caption and surrounding text.

Download original image

Predicted AB apparent magnitudes in the Gemini u, g, i, and Ks bands for an observer at a polar angle of 30 degrees and a distance of 40 Mpc. Comparison between a series of opacity models applied to the BLh profile. Left: Frequency- and composition-dependent opacities based on atomic calculations for neodymium and uranium (solid lines), versus the Just et al. (2022) prescription (dashed) and the simple Wu et al. (2022) opacity (dotted). Center: Opacities based on the neodymium atomic calculations, multigroup (solid lines) versus gray models (Rosseland or Planck, dashed and dotted). Right: Frequency-dependent LANL opacities including uranium (solid lines) or only neodymium (dashed) compared against the analytical Just et al. (2022) model (dotted).

Current usage metrics show cumulative count of Article Views (full-text article views including HTML views, PDF and ePub downloads, according to the available data) and Abstracts Views on Vision4Press platform.

Data correspond to usage on the plateform after 2015. The current usage metrics is available 48-96 hours after online publication and is updated daily on week days.

Initial download of the metrics may take a while.