Fig. 1.

Download original image
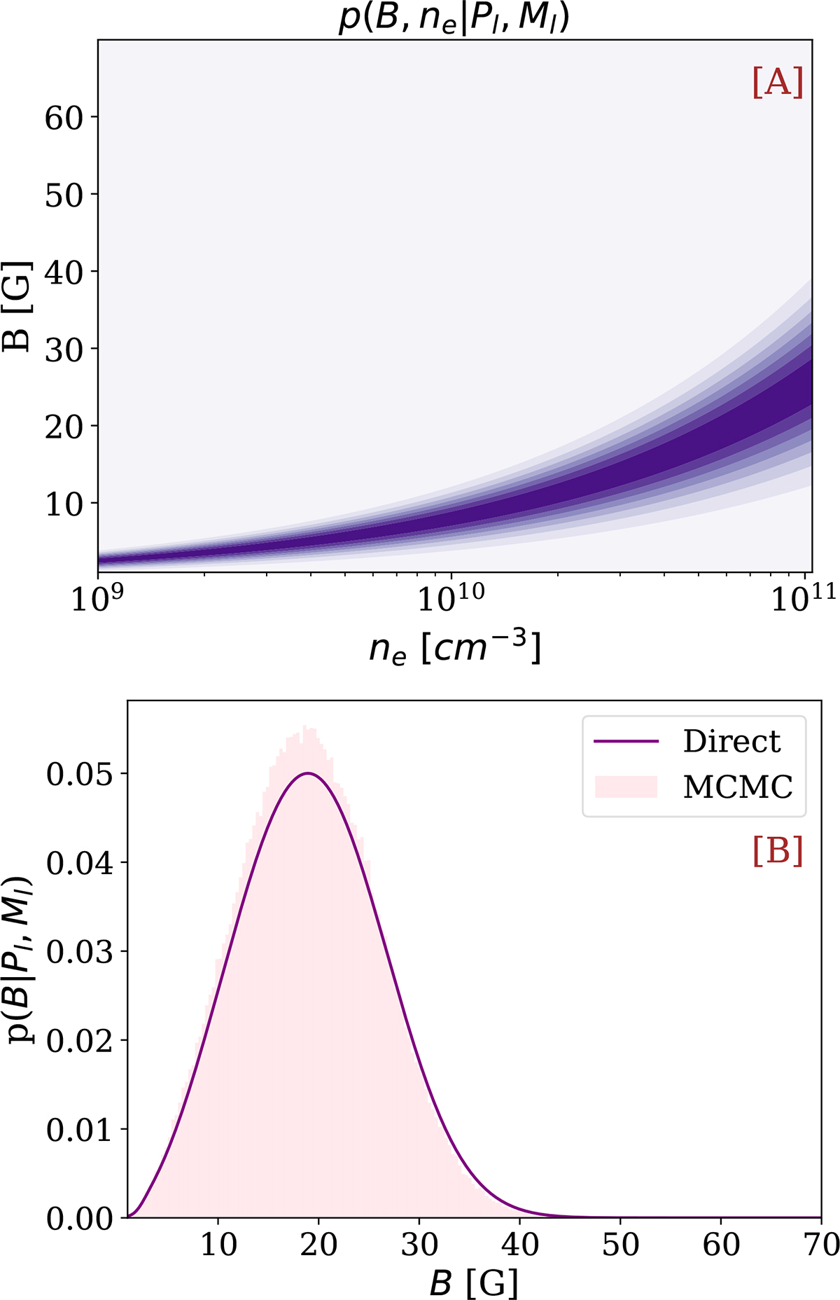
Joint posterior distribution of magnetic field strength and electron density and marginal probability distribution of the magnetic field. Panel (A): Joint probability distribution of magnetic field strength and electron number density inferred for the average longitudinal oscillation period (Pl = 58 ± 15 min) reported by Luna et al. (2018), assuming uniform priors on electron density, 𝒰(ne,[cm−3]; 109, 1011) and magnetic field strength, 𝒰(B, [G];1, 70), evaluated on a 2D grid with Nne = 990 and NB = 1380 points. Panel (B): Marginal probability distribution of the magnetic field obtained from direct numerical integration (solid line) and from the emcee MCMC sampling (pink histograms), using a 2D parameter space with approximately 15 walkers, 50 000 steps per walker, and a burn-in phase discarding the first 20% of the iterations.
Current usage metrics show cumulative count of Article Views (full-text article views including HTML views, PDF and ePub downloads, according to the available data) and Abstracts Views on Vision4Press platform.
Data correspond to usage on the plateform after 2015. The current usage metrics is available 48-96 hours after online publication and is updated daily on week days.
Initial download of the metrics may take a while.