Open Access

Fig. 6.

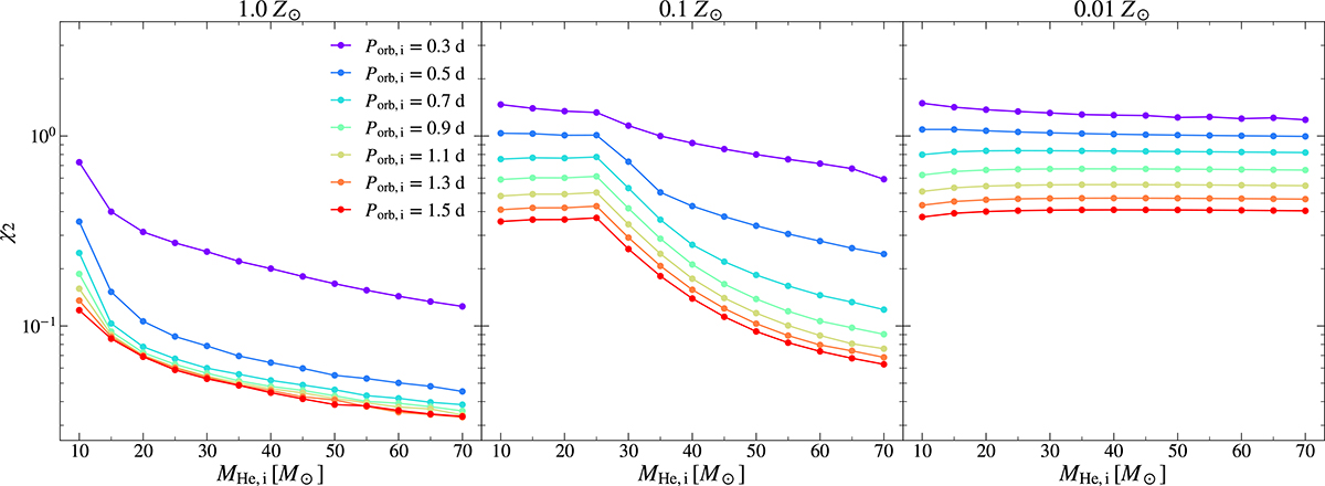
Fig. 6. Refer to the following caption and surrounding text.

Download original image

Spin magnitude χ2 of the resulting BH as a function of the initial He star mass, sampled from 10 to 70 M in a step of 5 M (left panel: 1.0 Z; middle panel: 0.1 Z; right panel: 0.01 Z). The calculation assumes angular-momentum conservation during direct core collapse at the time of central carbon depletion. The different colours denote the different initial orbital periods (see legend).

Current usage metrics show cumulative count of Article Views (full-text article views including HTML views, PDF and ePub downloads, according to the available data) and Abstracts Views on Vision4Press platform.

Data correspond to usage on the plateform after 2015. The current usage metrics is available 48-96 hours after online publication and is updated daily on week days.

Initial download of the metrics may take a while.