Open Access

Fig. 4.

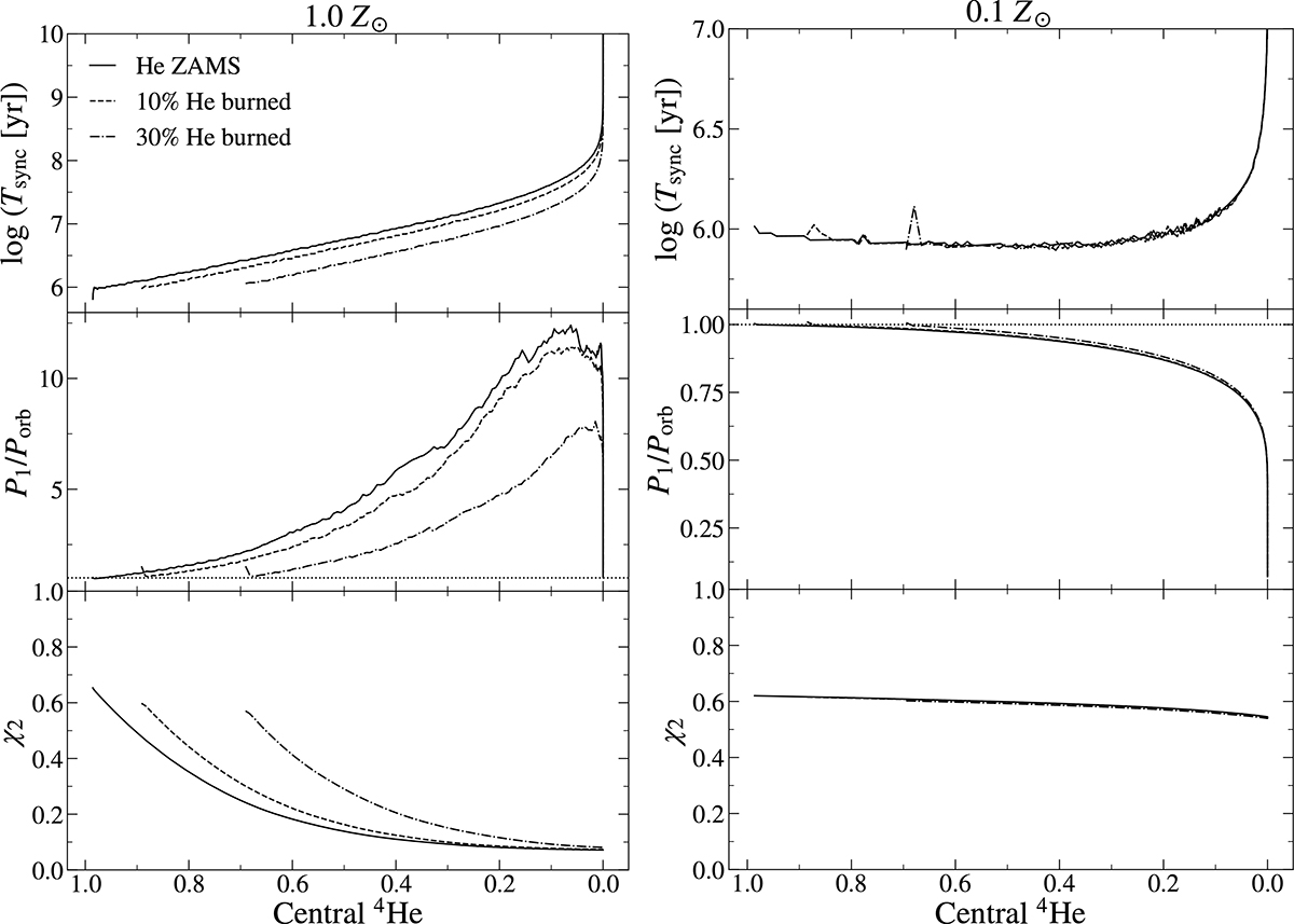
Fig. 4. Refer to the following caption and surrounding text.

Download original image

Synchronization timescale (Tsync; top), ratio of the He star spin period to the orbital period (P1/Porb; middle), and BH spin magnitude (χ2; bottom) are shown as functions of the central helium abundance. We consider three He star models: He ZAMS (solid line), a He star with 10% central helium depleted (dashed line), and a He star with 30% central helium depleted (dash-dotted line). All three models assume an initial orbital period of 1.0 day. The first column shows the results at 1.0 Z, while the second column shows those at 0.1 Z. The results at 0.01 Z are nearly identical to the 0.1 Z case, and are therefore not shown here.

Current usage metrics show cumulative count of Article Views (full-text article views including HTML views, PDF and ePub downloads, according to the available data) and Abstracts Views on Vision4Press platform.

Data correspond to usage on the plateform after 2015. The current usage metrics is available 48-96 hours after online publication and is updated daily on week days.

Initial download of the metrics may take a while.