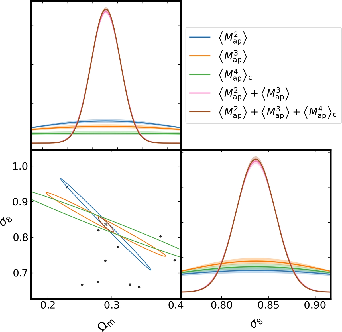
Fig. 7.

Download original image
Joint forecast of second-, third-, and fourth-order aperture statistics, with 1σ contours from the Fisher covariance matrix F−1. The cloud of points in the two-dimensional distribution corresponds to the closest sets of cosmological parameters to the fiducial cSfid value, marked with a cross. The Figure of Merit (FoM) of the plotted ellipses, as derived in Appendix D.3, are: FoM(⟨Map2⟩) = 104 ± 15, FoM(⟨Map3⟩) = 72 ± 20, FoM(⟨Map4⟩c) = 29 ± 11, FoM(⟨Map2⟩ + ⟨Map3⟩) = 652 ± 103, and FoM(⟨Map2⟩ + ⟨Map3⟩ + ⟨Map4⟩c) = 680 ± 106. In the considered setting, the inclusion of fourth-order statistics leads to a nonsignificant improvement in the constraining power of the aperture statistics.
Current usage metrics show cumulative count of Article Views (full-text article views including HTML views, PDF and ePub downloads, according to the available data) and Abstracts Views on Vision4Press platform.
Data correspond to usage on the plateform after 2015. The current usage metrics is available 48-96 hours after online publication and is updated daily on week days.
Initial download of the metrics may take a while.