Fig. 5.

Download original image
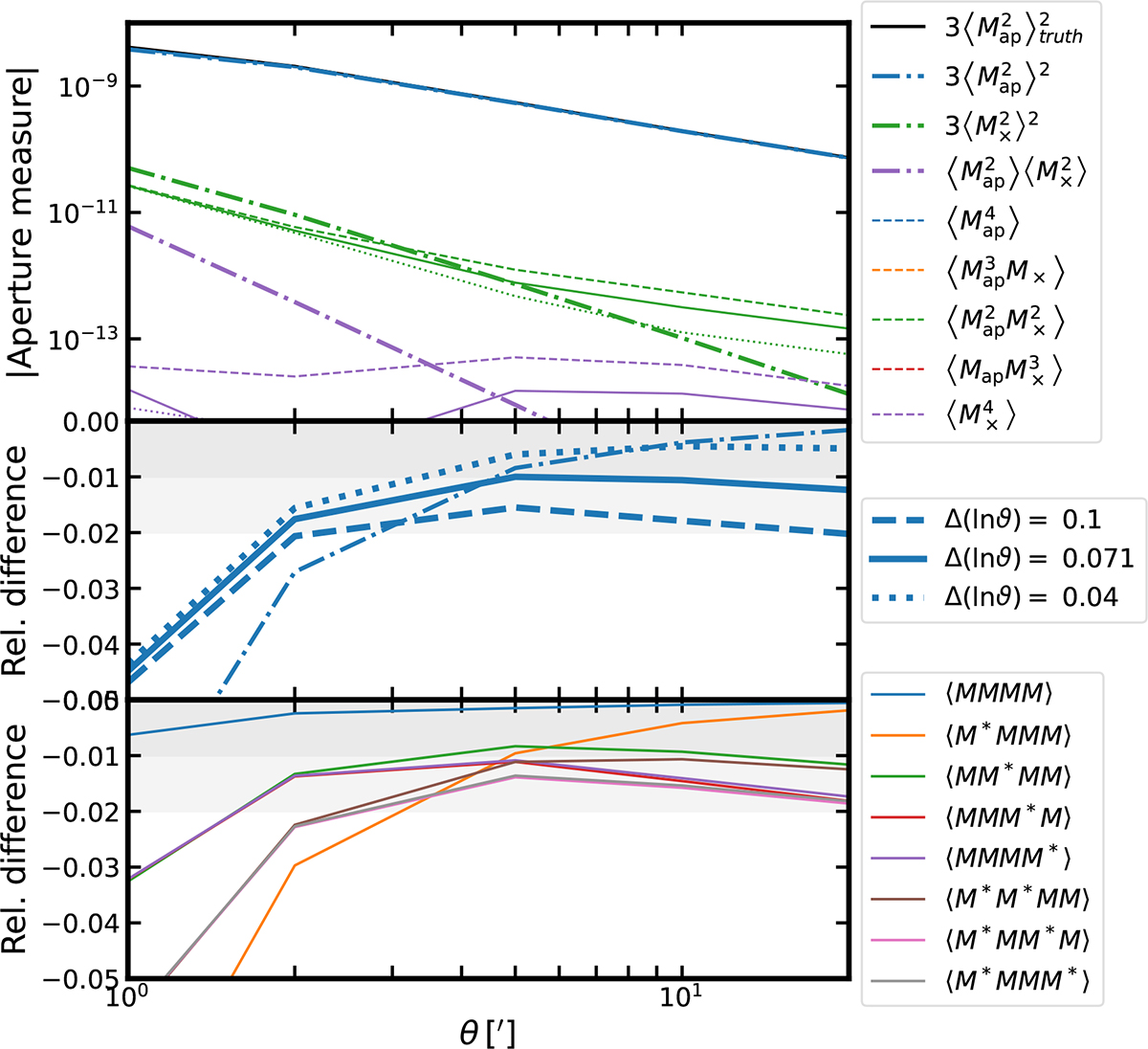
Effect of the binning accuracy on the fourth-order aperture statistics. (Top-middle) Equivalent to Fig. 4 with radial integration range [e−2 ′,e5 ′] and an increasingly fine hypercubical bin, i.e. Δψ = Δ(lnϑ). (Bottom) Relative difference of the eight aperture measures corresponding to the eight natural components to the considered ground truth (see text). Solid lines represent the same set of integration parameters as solid lines in Fig. 4.
Current usage metrics show cumulative count of Article Views (full-text article views including HTML views, PDF and ePub downloads, according to the available data) and Abstracts Views on Vision4Press platform.
Data correspond to usage on the plateform after 2015. The current usage metrics is available 48-96 hours after online publication and is updated daily on week days.
Initial download of the metrics may take a while.