Open Access

Fig. 3

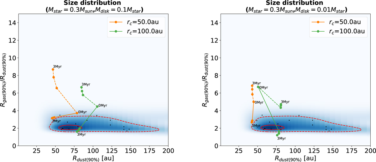
Fig. 3 Refer to the following caption and surrounding text.

Download original image

Evolution in the Rgas(90%)/Rdust(90%) vs. Rdust(90%) space for some test substructured disks evolved with DustPy code in a low viscosity regime (α = 10−3.5) for different values of the characteristic radius rc. The points associated with each trajectory represent the snapshots taken at 0 Myr, 1 Myr, 2 Myr, and 3 Myr, respectively. Solid line: External photoevaporation (FFUV = 4 G0). Dashed line: No external photoevaporation (FFUV = 0 G0).

Current usage metrics show cumulative count of Article Views (full-text article views including HTML views, PDF and ePub downloads, according to the available data) and Abstracts Views on Vision4Press platform.

Data correspond to usage on the plateform after 2015. The current usage metrics is available 48-96 hours after online publication and is updated daily on week days.

Initial download of the metrics may take a while.