Open Access

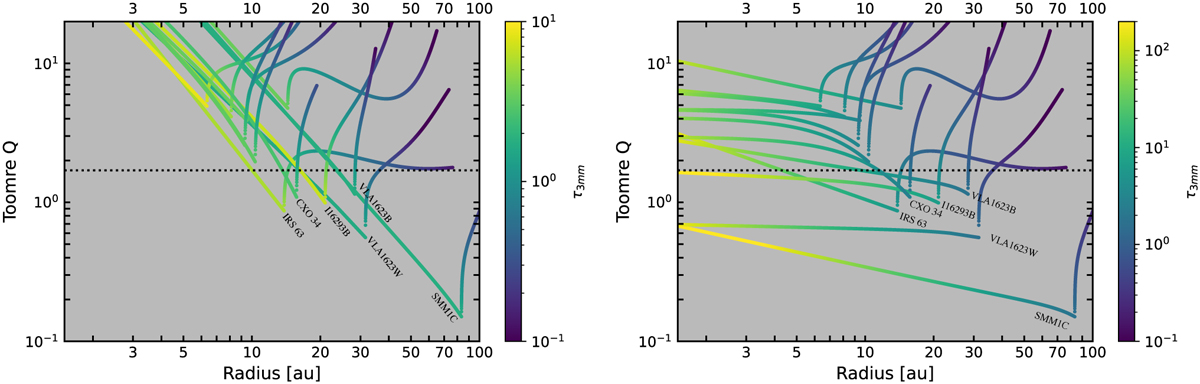
Fig. 13

image

Download original image

Profiles of the Toomre Q parameter as a function of radius. The left panel shows the case where we extrapolate the optical depth in order to remain constant inward of the radius for which α ≈ 2, while the right panel assumes the optical depth increases as r−1.5 therein, thus providing an upper and lower limit for Q. The curves are colored by the resultant dust optical depth at 3 mm. The horizontal dotted line corresponds to Q = 1.7, a reference value below which the disk can develop gravitational instabilities. (See Section 6.2.1 for more details.

Current usage metrics show cumulative count of Article Views (full-text article views including HTML views, PDF and ePub downloads, according to the available data) and Abstracts Views on Vision4Press platform.

Data correspond to usage on the plateform after 2015. The current usage metrics is available 48-96 hours after online publication and is updated daily on week days.

Initial download of the metrics may take a while.