Open Access

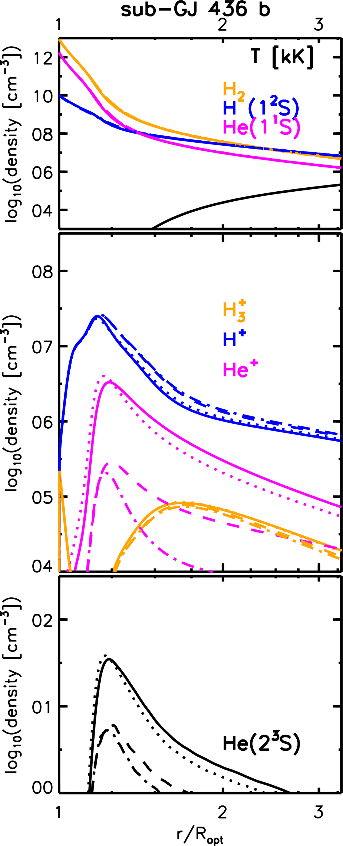
Fig. A.1.

image

Download original image

Same as Fig. 1, but for the virtual sub-Neptune motivated by GJ 436 b described in the text. The He I triplet line is one of the few atmospheric features detectable on sub-Neptunes with current technology (as in the case of GJ 3090 b, Ahrer et al. 2025). The limited set of simulations presented in this figure confirm that H2 is likely to survive to far distances on them, which has a significant effect on the He I triplet line strength.

Current usage metrics show cumulative count of Article Views (full-text article views including HTML views, PDF and ePub downloads, according to the available data) and Abstracts Views on Vision4Press platform.

Data correspond to usage on the plateform after 2015. The current usage metrics is available 48-96 hours after online publication and is updated daily on week days.

Initial download of the metrics may take a while.