Open Access

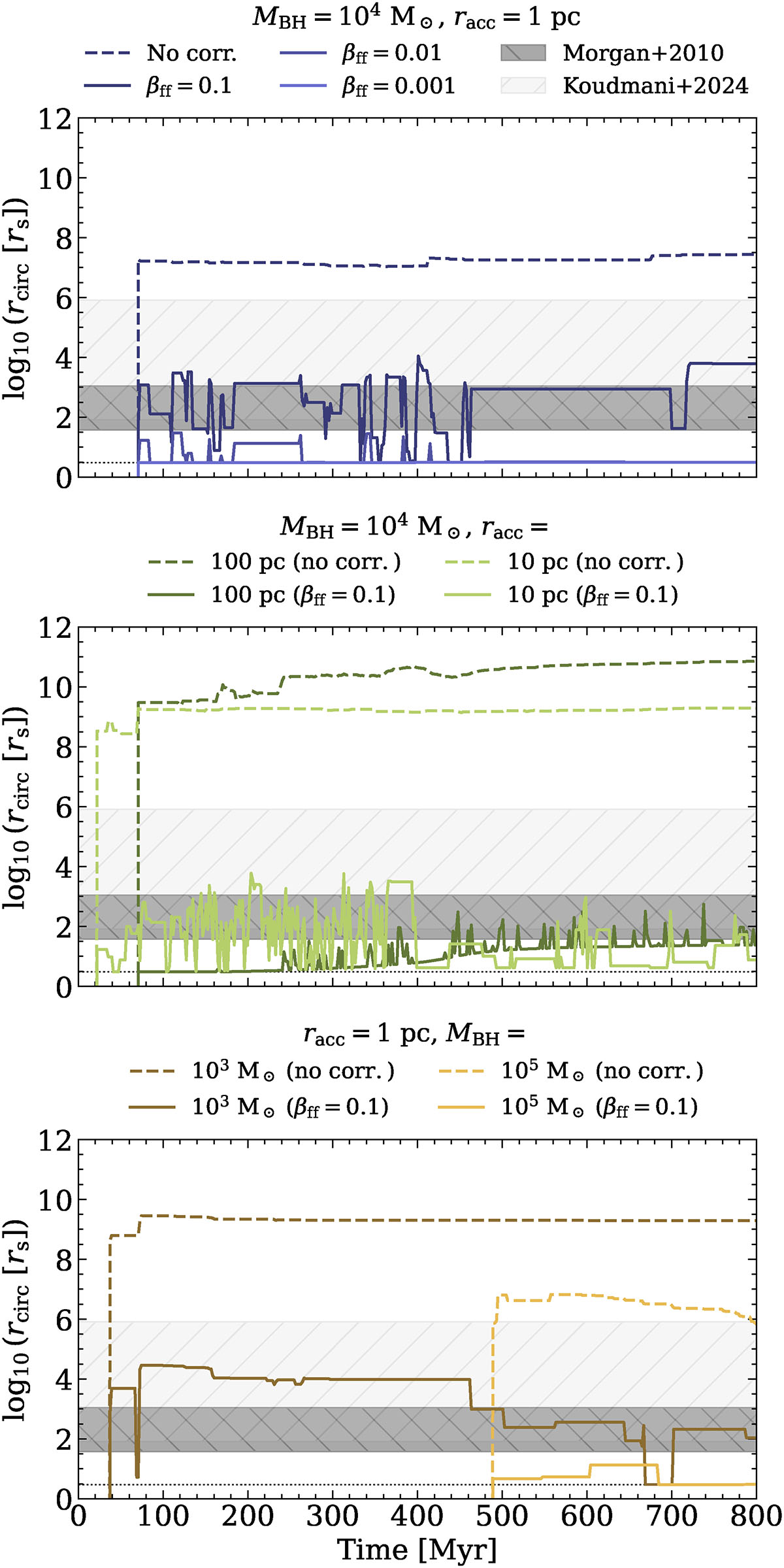
Fig. A.1.

image

Download original image

Time evolution of rcirc in a set of simulations conducted in a low DM resolution set-up of our low-mass dwarf galaxy (see Table 1). Top: The efficiency factor βff (see Eq. A.1) is introduced and varied between 0.1 and 0.001 for a MBH of MBH = 104 M and racc = 1 pc. The shaded dark grey area corresponds to the observational scaling relation of Morgan et al. (2010), while the shaded light grey area represents the theoretical range for a 101−3 M thin disc (Eq. 9 in Koudmani et al. 2024). Middle: For a MBH of MBH = 104 M, racc is varied between 100 and 10 pc, with and without βff = 0.1. Bottom: With racc = 1 pc, the initial mass MBH of the MBH is varied between 103 and 105 M, with and without βff = 0.1.

Current usage metrics show cumulative count of Article Views (full-text article views including HTML views, PDF and ePub downloads, according to the available data) and Abstracts Views on Vision4Press platform.

Data correspond to usage on the plateform after 2015. The current usage metrics is available 48-96 hours after online publication and is updated daily on week days.

Initial download of the metrics may take a while.