Open Access

Fig. A.1

image

Download original image

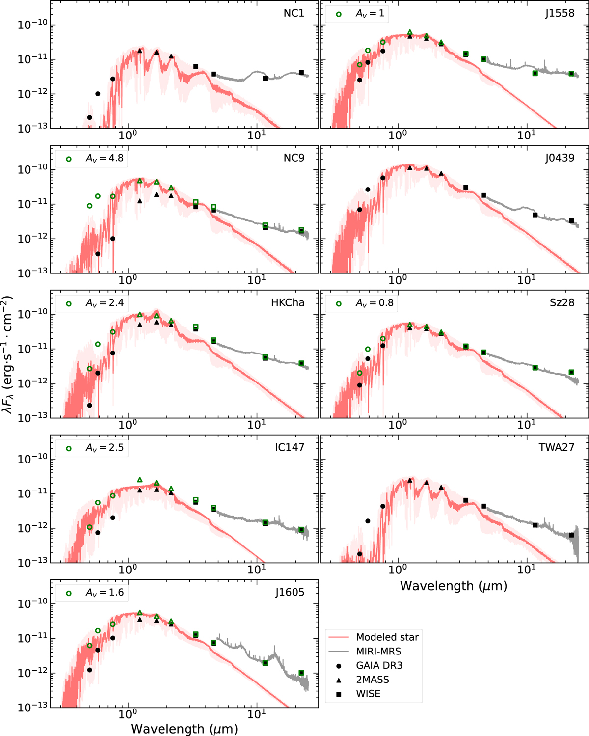
Modeled stellar photospheric spectra with Gaia DR3, 2MASS, and WISE in VOSA. The observed photometric data points are shown as black markers, while the green markers indicate the foreground extinction corrected ones. The shaded red lines show the full resolution stellar spectra. The solid red lines are rebinned to R ~ 1000. The gray line denotes the MIRI spectrum.

Current usage metrics show cumulative count of Article Views (full-text article views including HTML views, PDF and ePub downloads, according to the available data) and Abstracts Views on Vision4Press platform.

Data correspond to usage on the plateform after 2015. The current usage metrics is available 48-96 hours after online publication and is updated daily on week days.

Initial download of the metrics may take a while.