Open Access

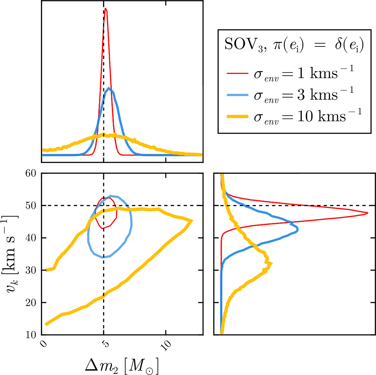
Fig. 4.

image

Download original image

Inference variations due to the birth environment velocity dispersion. Posteriors on the natal kick vk and mass loss Δm2, when the birth environment has velocity dispersion in all three directions equal to 1, 3, or 10 km s−1 (red, blue, and yellow lines, respectively). The model shown here is for the initially circular mock system with the circular prior, in the best-case scenario SOV3. Black dashed lines show the true values.

Current usage metrics show cumulative count of Article Views (full-text article views including HTML views, PDF and ePub downloads, according to the available data) and Abstracts Views on Vision4Press platform.

Data correspond to usage on the plateform after 2015. The current usage metrics is available 48-96 hours after online publication and is updated daily on week days.

Initial download of the metrics may take a while.