Open Access

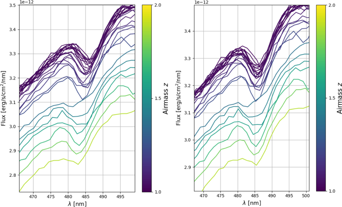
Fig. D.1

image

Download original image

Absorption line at 486.3 nm of CALSPEC star HD111980 observed during the night of 2017 May 30 while it goes from an airmass of 1 to an airmass of approximately 2. Left: Without modelling the ADR effect in the wavelength-calibration process. Right: With the ADR effect in the wavelength-calibration process. The profiles are better aligned.

Current usage metrics show cumulative count of Article Views (full-text article views including HTML views, PDF and ePub downloads, according to the available data) and Abstracts Views on Vision4Press platform.

Data correspond to usage on the plateform after 2015. The current usage metrics is available 48-96 hours after online publication and is updated daily on week days.

Initial download of the metrics may take a while.