Free Access

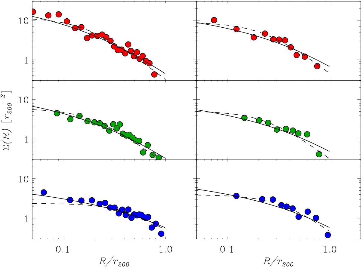
Fig. 5

image

Projected surface number density profiles for E (top panel), S0 (middle panel), and S (bottom panel) galaxies, in the Reg-sigv (left-hand panels) and Irr-sigv (right-hand panels) stacks, as determined using the spectroscopic samples of cluster members, and the completeness weights. Radii are in units of r200, Σ(R) are in units of . The solid (respectively dashed) curves are the best-fit (projected) NFW (respectively King) profiles, as obtained by averaging the results of maximum likelihood fits to the Σ(R) of individual clusters, obtained using the photometric sample. Poisson error bars are smaller than the size of the symbols, but do not include the completeness uncertainties.

Current usage metrics show cumulative count of Article Views (full-text article views including HTML views, PDF and ePub downloads, according to the available data) and Abstracts Views on Vision4Press platform.

Data correspond to usage on the plateform after 2015. The current usage metrics is available 48-96 hours after online publication and is updated daily on week days.

Initial download of the metrics may take a while.