Free Access

Fig. 2

image

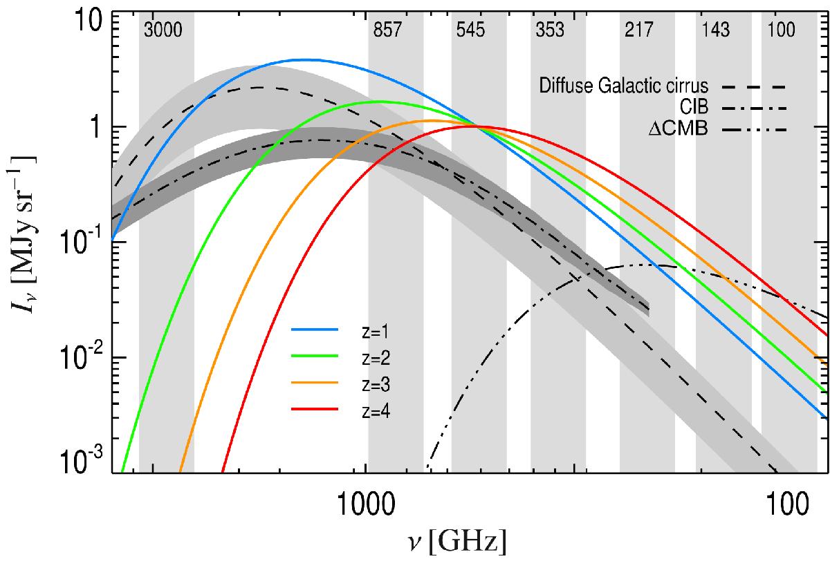
Surface brightness Iν of the main astrophysical components of the submm and mm sky at high Galactic latitude, i.e., Galactic cirrus, CIB fluctuations, and CMB anisotropies. Typical SEDs of sources at intermediate and high redshift, i.e., z = 14, are modelled by a modified blackbody emission law (with Txgal = 30 K and βxgal = 1.5) and plotted in colours, from blue (z = 1) to red (z = 4). The ±2σ levels of Galactic cirrus and CIB fluctuations are shown as light and dark grey shaded areas, respectively. The bandwidths of the 3 THz IRIS and the six Planck-HFI bands are shown as light grey vertical bands.

Current usage metrics show cumulative count of Article Views (full-text article views including HTML views, PDF and ePub downloads, according to the available data) and Abstracts Views on Vision4Press platform.

Data correspond to usage on the plateform after 2015. The current usage metrics is available 48-96 hours after online publication and is updated daily on week days.

Initial download of the metrics may take a while.