Free Access

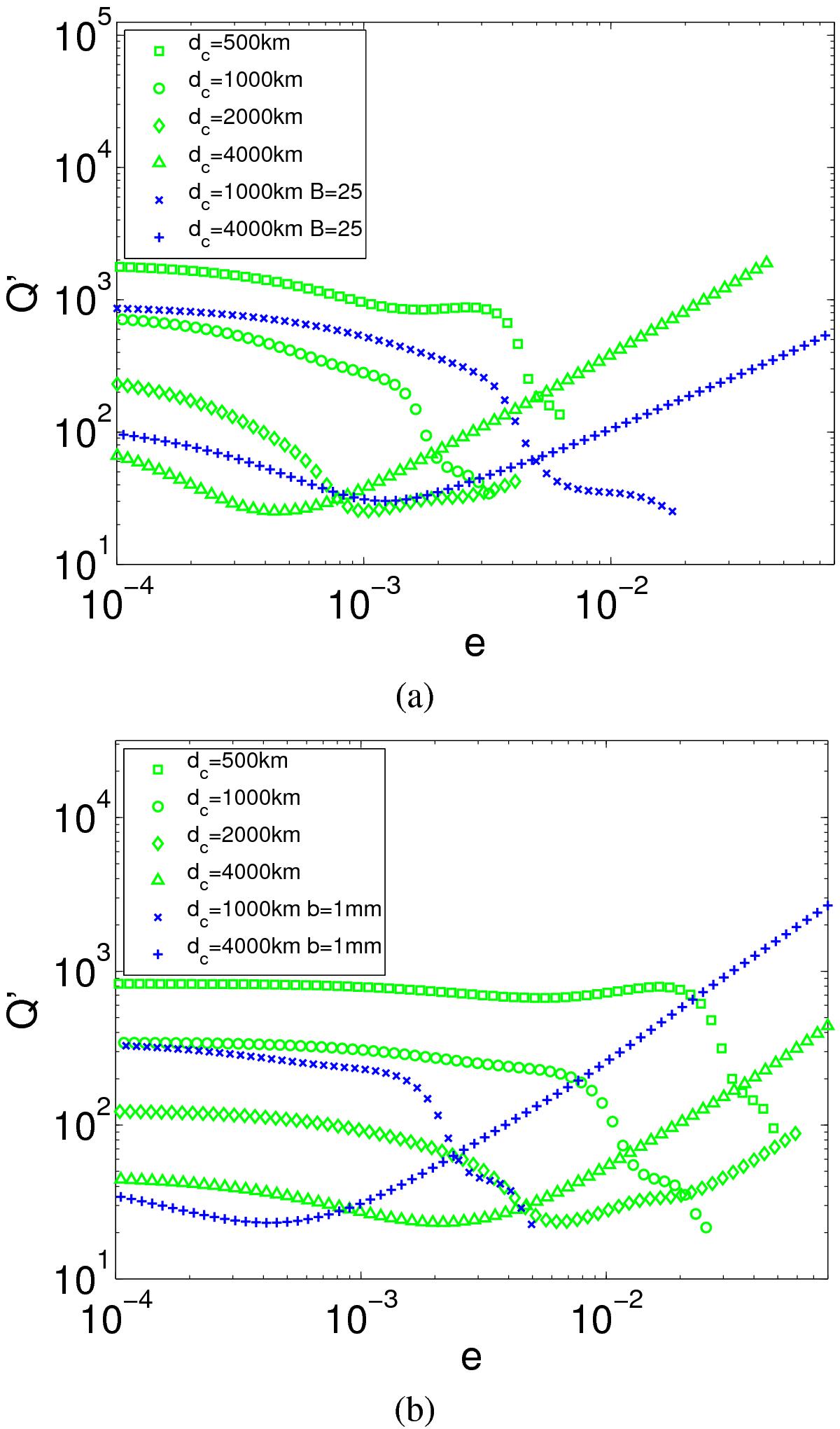
Fig. 9

image

Q as a function of eccentricity calculated with depth-dependent viscosity as described in Sect. 2.3 for a planet with the size and density of Corot 7 b and four different asthenosphere thicknesses. The contribution by a convective heat transport is not included in the calculation of Q. Two different orbital periods a)P = 2 d and b) P = 6 d were considered. If not otherwise stated, b = 5 mm and B = 40. The model parameters are listed in Tables 1 and 35.

This figure is made of several images, please see below:

Current usage metrics show cumulative count of Article Views (full-text article views including HTML views, PDF and ePub downloads, according to the available data) and Abstracts Views on Vision4Press platform.

Data correspond to usage on the plateform after 2015. The current usage metrics is available 48-96 hours after online publication and is updated daily on week days.

Initial download of the metrics may take a while.