Free Access

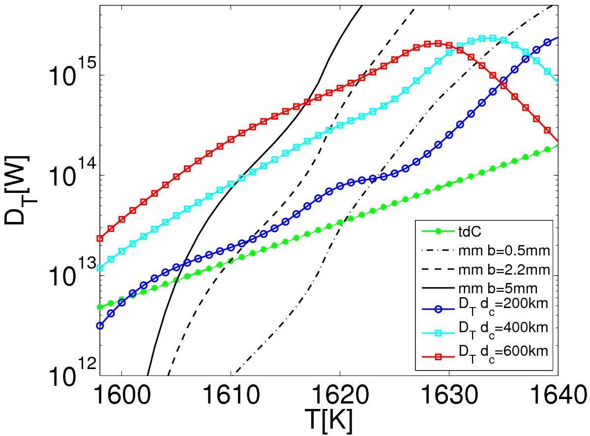
Fig. 5

image

Heat transported by melt migration (mm) for three different grain sizes, assuming time-dependent convection (tdC) and tidal heat (DT) for three different asthenosphere thicknesses, model M1. See Tables 14 for the model parameters. Nu(Ra) is given according to Eq. (6) for time-dependent convection and according to Eq. (30)for melt migration. B = 25.

Current usage metrics show cumulative count of Article Views (full-text article views including HTML views, PDF and ePub downloads, according to the available data) and Abstracts Views on Vision4Press platform.

Data correspond to usage on the plateform after 2015. The current usage metrics is available 48-96 hours after online publication and is updated daily on week days.

Initial download of the metrics may take a while.