Free Access

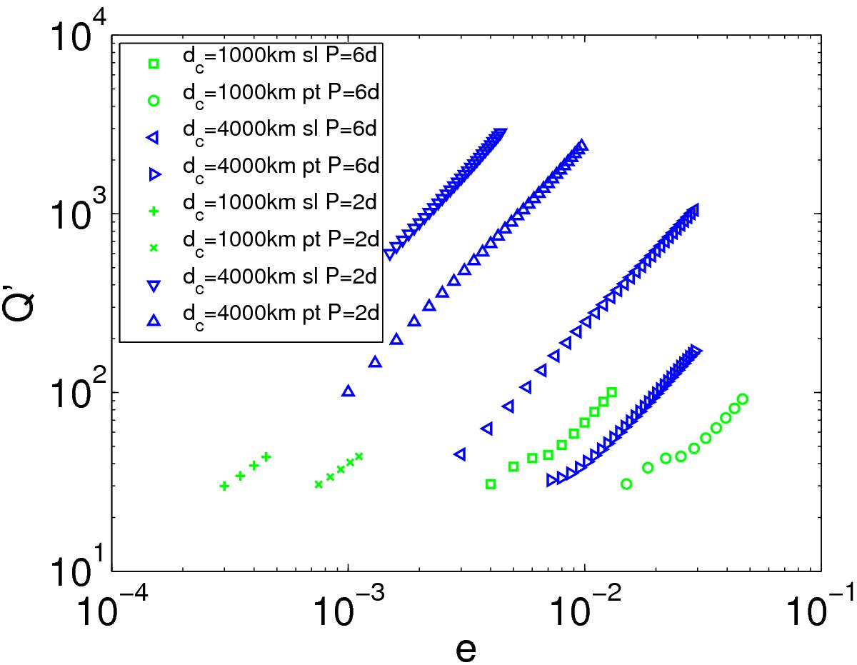
Fig. 11

image

Q as a function of eccentricity for stagnant lid convection (sl) and plate tectonic convection (pt) for a planet with the size and density of Corot 7 b and two different asthenosphere thicknesses. The contribution by melt migration is not included in the calculation of Q. The respective orbital period is quoted in the legend. Nu(Ra) according to Eq. (6) (sl) and Eq. (14) (pt). The model parameters are listed in Tables 1 and 35. B = 25.

Current usage metrics show cumulative count of Article Views (full-text article views including HTML views, PDF and ePub downloads, according to the available data) and Abstracts Views on Vision4Press platform.

Data correspond to usage on the plateform after 2015. The current usage metrics is available 48-96 hours after online publication and is updated daily on week days.

Initial download of the metrics may take a while.