Free Access

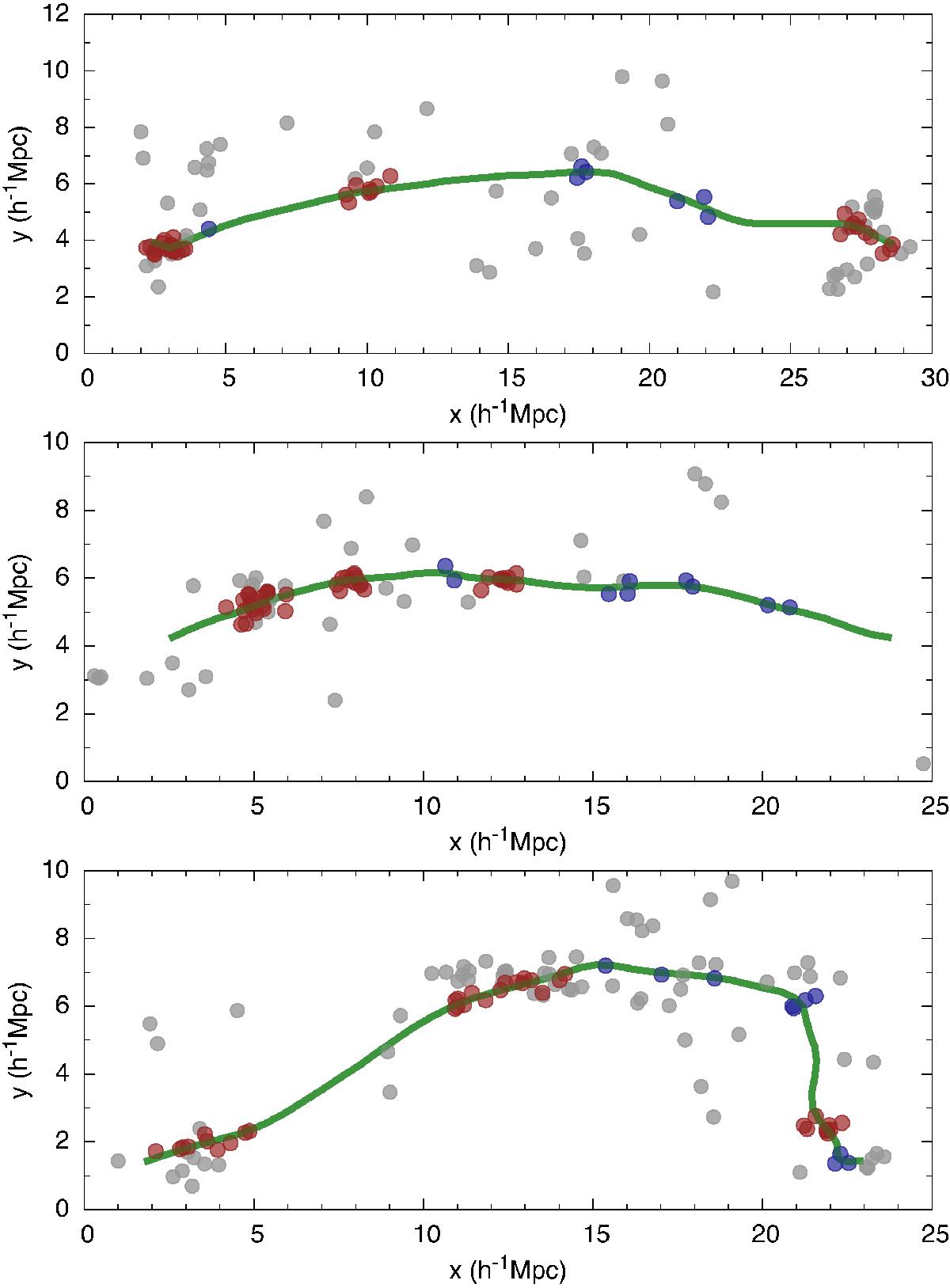
Fig. 1

image

Examples of filaments and their spines. Red points show galaxies in filaments (closer than 0.5 h-1 Mpc to the filament axis) that are located in groups with five or more members. The group richness is taken from Tempel et al. (2014c). Blue points show other galaxies in filaments. Grey points are background galaxies that are not located in these filaments. We note that some of the background galaxies project to the filament spines, but are actually located farther than 0.5 h-1 Mpc from the spine. The thick green line shows the spine of a filament. To show the scale of structures, Cartesian coordinates are shown around each filament.

Current usage metrics show cumulative count of Article Views (full-text article views including HTML views, PDF and ePub downloads, according to the available data) and Abstracts Views on Vision4Press platform.

Data correspond to usage on the plateform after 2015. The current usage metrics is available 48-96 hours after online publication and is updated daily on week days.

Initial download of the metrics may take a while.