Open Access
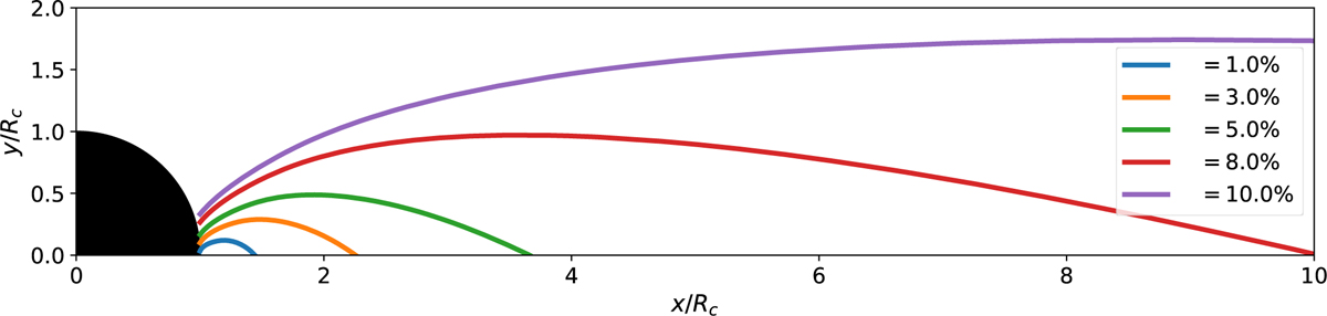
Fig. 12

Download original image
Analytic profiles for the funneled wind behind an edge star. The curves trace the interface between the wind of the single star and the collective cluster wind. The thermal pressure of the latter bends the wind in the wake of the single star.
Current usage metrics show cumulative count of Article Views (full-text article views including HTML views, PDF and ePub downloads, according to the available data) and Abstracts Views on Vision4Press platform.
Data correspond to usage on the plateform after 2015. The current usage metrics is available 48-96 hours after online publication and is updated daily on week days.
Initial download of the metrics may take a while.