Fig. 13

Download original image
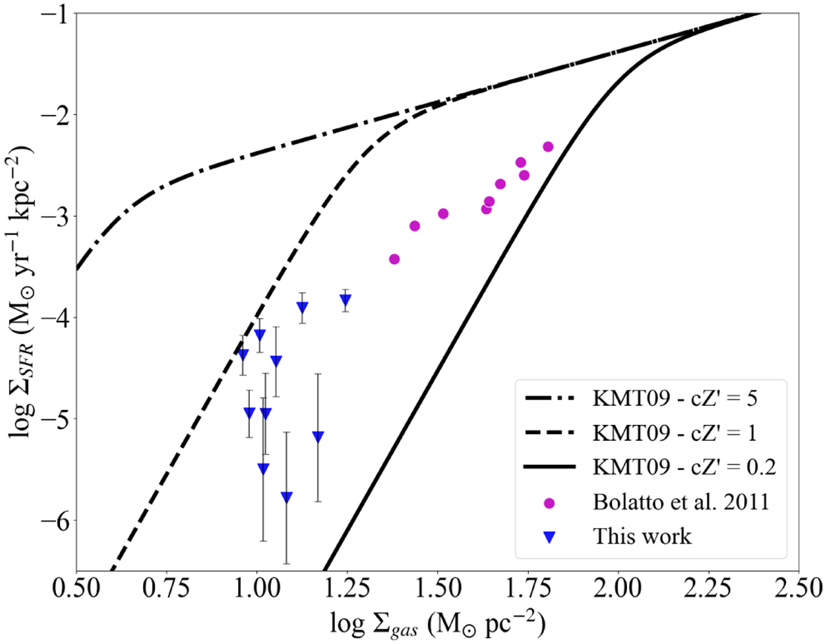
SF law in the Magellanic Bridge (blue triangles) in comparison with the data by Bolatto et al. (2011) (magenta filled circles) and curves of the KMT09 models (adapted from the same authors) for different values of the cZ′ parameter (the product of the gas metallicity Z′ and the degree of gas clumping c) indicated by the dash-dotted, dashed, and solid lines.
Current usage metrics show cumulative count of Article Views (full-text article views including HTML views, PDF and ePub downloads, according to the available data) and Abstracts Views on Vision4Press platform.
Data correspond to usage on the plateform after 2015. The current usage metrics is available 48-96 hours after online publication and is updated daily on week days.
Initial download of the metrics may take a while.