Fig. 3

Download original image
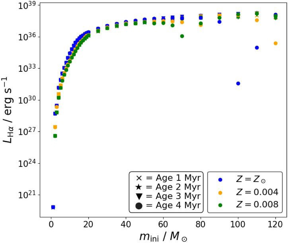
Hα luminosity (logarithmic scale) of stars with ages of 1–4 Myr as a function of the initial mass, mini. The colour indicates the metallicity, and the marker indicates the age. Note that the 1–3 Myr points are largely superposed by the 4 Myr data. In Appendix A, the data for each age are displayed in a separate figure for clarity.
Current usage metrics show cumulative count of Article Views (full-text article views including HTML views, PDF and ePub downloads, according to the available data) and Abstracts Views on Vision4Press platform.
Data correspond to usage on the plateform after 2015. The current usage metrics is available 48-96 hours after online publication and is updated daily on week days.
Initial download of the metrics may take a while.