Open Access
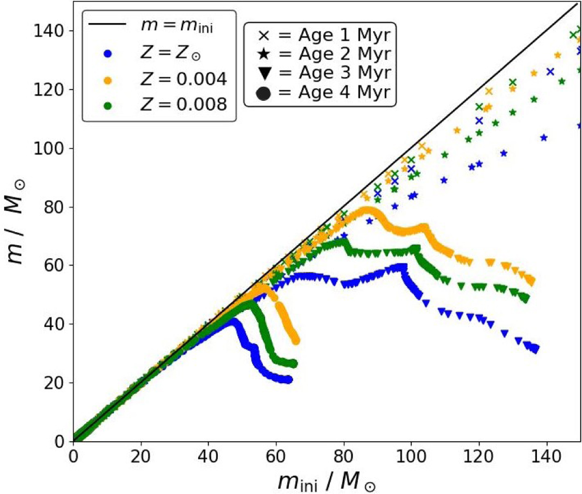
Fig. 1

Download original image
Stellar mass evolution for ages of 1–4 Myr obtained as described in Sect. 2.3. The mass of a star at the respective age, m, is plotted against the initial mass, mini. The colour indicates the metallicity, and the marker the age. The black line displays the case m = mini.
Current usage metrics show cumulative count of Article Views (full-text article views including HTML views, PDF and ePub downloads, according to the available data) and Abstracts Views on Vision4Press platform.
Data correspond to usage on the plateform after 2015. The current usage metrics is available 48-96 hours after online publication and is updated daily on week days.
Initial download of the metrics may take a while.