Open Access

Fig. C.1.

Fig. C.1. Refer to the following caption and surrounding text.

Download original image

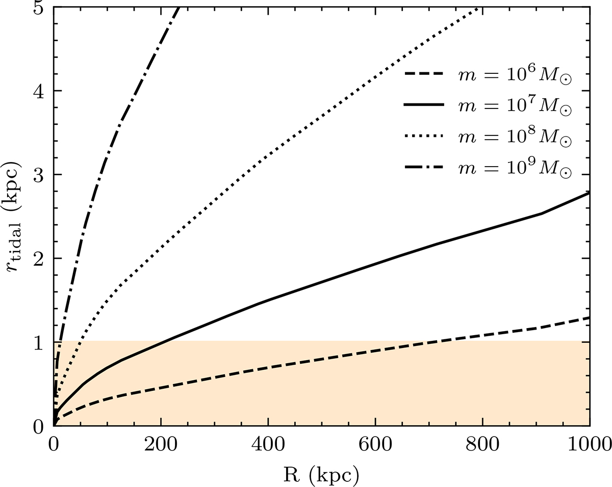
Tidal radius for galaxies of different stellar masses as a function of distance to the centre of Hydra I considering the enclosed mass derived from the X-ray emission. The orange shaded area indicates the regime where dwarf galaxies lose a significant amount of stars due to tidal stripping, delimited by the typical dwarf galaxy half-light radius of 1 kpc.

Current usage metrics show cumulative count of Article Views (full-text article views including HTML views, PDF and ePub downloads, according to the available data) and Abstracts Views on Vision4Press platform.

Data correspond to usage on the plateform after 2015. The current usage metrics is available 48-96 hours after online publication and is updated daily on week days.

Initial download of the metrics may take a while.