Fig. 4.

Download original image
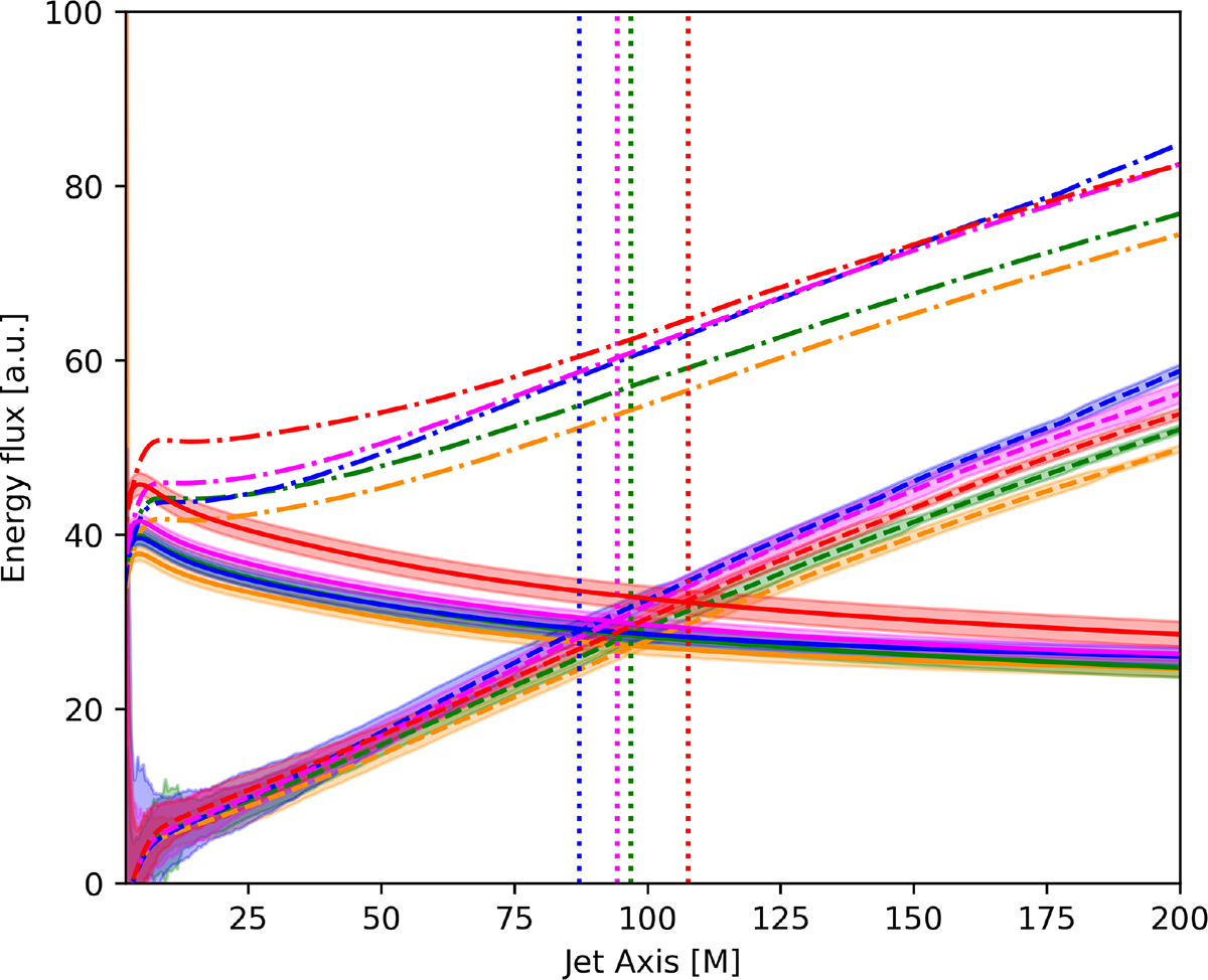
Time-averaged total energy fluxes (dash-dotted lines), EM energy fluxes (solid lines), and kinetic energy fluxes (dashed lines) in the time interval (25 000 − 30 000) M for varying BH separations along the jet for simulations K.60 (orange), K.80 (green), K.90 (blue), K.95 (magenta), and K.99 (red). The vertical dotted lines indicate the radii at which the kinetic and EM energy fluxes are in equipartition.
Current usage metrics show cumulative count of Article Views (full-text article views including HTML views, PDF and ePub downloads, according to the available data) and Abstracts Views on Vision4Press platform.
Data correspond to usage on the plateform after 2015. The current usage metrics is available 48-96 hours after online publication and is updated daily on week days.
Initial download of the metrics may take a while.