Fig. 14.

Download original image
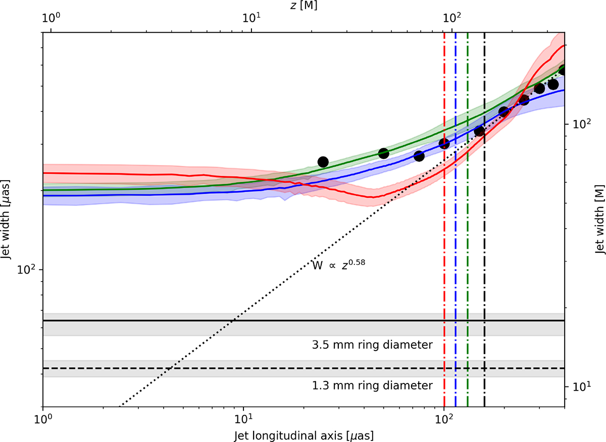
Jet width of M87 at 86 GHz along the longitudinal jet axis for simulations K.80 (green), K.90 (blue), and K.99 (red) with corresponding 1σ bands. The black dots are data points of the jet width of M87 from the observation of Lu et al. (2023). The dotted line is a power-law fit from observations of M87. The solid horizontal line is the estimated 86 GHz ring size, and the dashed horizontal line is the 230 GHz ring size with respective error band (gray areas). The vertical lines are the distances from the BH, where the intrinsic half-opening angles equals the jet viewing angle of θv = 17° (color-code is consistent).
Current usage metrics show cumulative count of Article Views (full-text article views including HTML views, PDF and ePub downloads, according to the available data) and Abstracts Views on Vision4Press platform.
Data correspond to usage on the plateform after 2015. The current usage metrics is available 48-96 hours after online publication and is updated daily on week days.
Initial download of the metrics may take a while.