Open Access

Fig. 5.

Fig. 5. Refer to the following caption and surrounding text.

Download original image

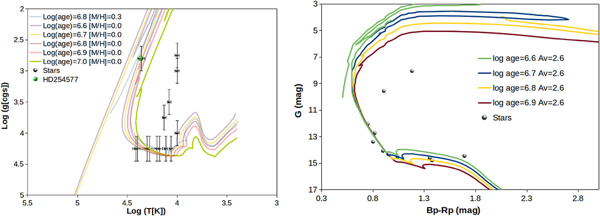
Left:Teff vs. log(g) diagram of the runaway star and OB-type stars within 10 pc from the runaway star. Right: CMD of the runaway star and possible cluster members. Isochrones are set for a 1700 pc distance. The bright stars out of the isochrones are the runaway star and HD 254477.

Current usage metrics show cumulative count of Article Views (full-text article views including HTML views, PDF and ePub downloads, according to the available data) and Abstracts Views on Vision4Press platform.

Data correspond to usage on the plateform after 2015. The current usage metrics is available 48-96 hours after online publication and is updated daily on week days.

Initial download of the metrics may take a while.