Open Access

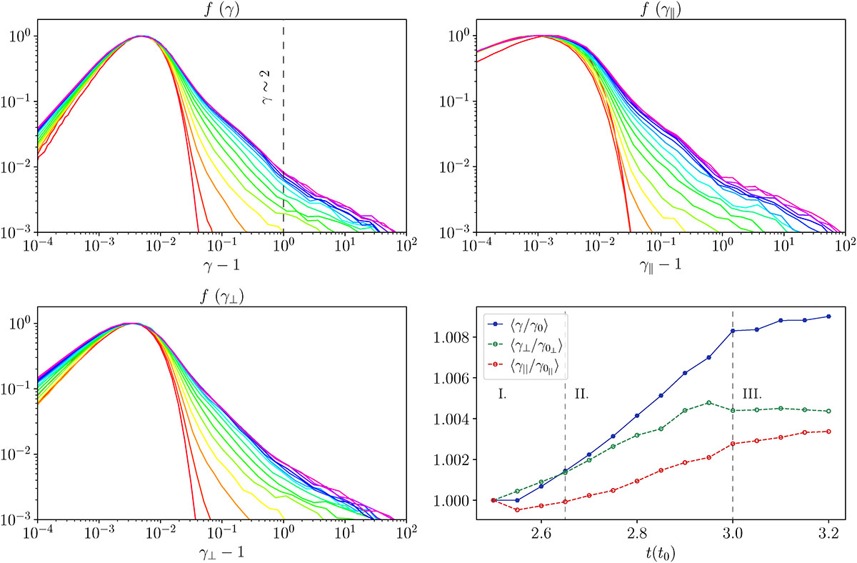
Fig. 3.

image

Download original image

Evolution of electron distributions for total energy (top-left panel), parallel energy (top-right panel), and perpendicular energy (bottom-left panel) for t ∈ [2.5, 3.5]t0. Distributions are evenly spaced in time with a cadence of δt = 0.05t0. The evolution of the mean energy relative to the initial energy, γ/γ0 with γ ≤ 2, is shown in the bottom right panel for the same time period.

Current usage metrics show cumulative count of Article Views (full-text article views including HTML views, PDF and ePub downloads, according to the available data) and Abstracts Views on Vision4Press platform.

Data correspond to usage on the plateform after 2015. The current usage metrics is available 48-96 hours after online publication and is updated daily on week days.

Initial download of the metrics may take a while.