Open Access

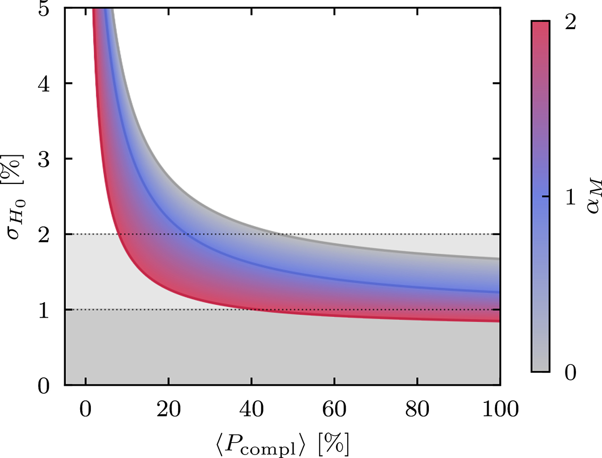
Fig. 6.

image

Download original image

Percentage of uncertainty on marginalized H0 constraints as a function of the average completeness and host mass weighting exponent αM obtained from a full standard siren analysis of 100 O5-like BBH events.

Current usage metrics show cumulative count of Article Views (full-text article views including HTML views, PDF and ePub downloads, according to the available data) and Abstracts Views on Vision4Press platform.

Data correspond to usage on the plateform after 2015. The current usage metrics is available 48-96 hours after online publication and is updated daily on week days.

Initial download of the metrics may take a while.