Open Access

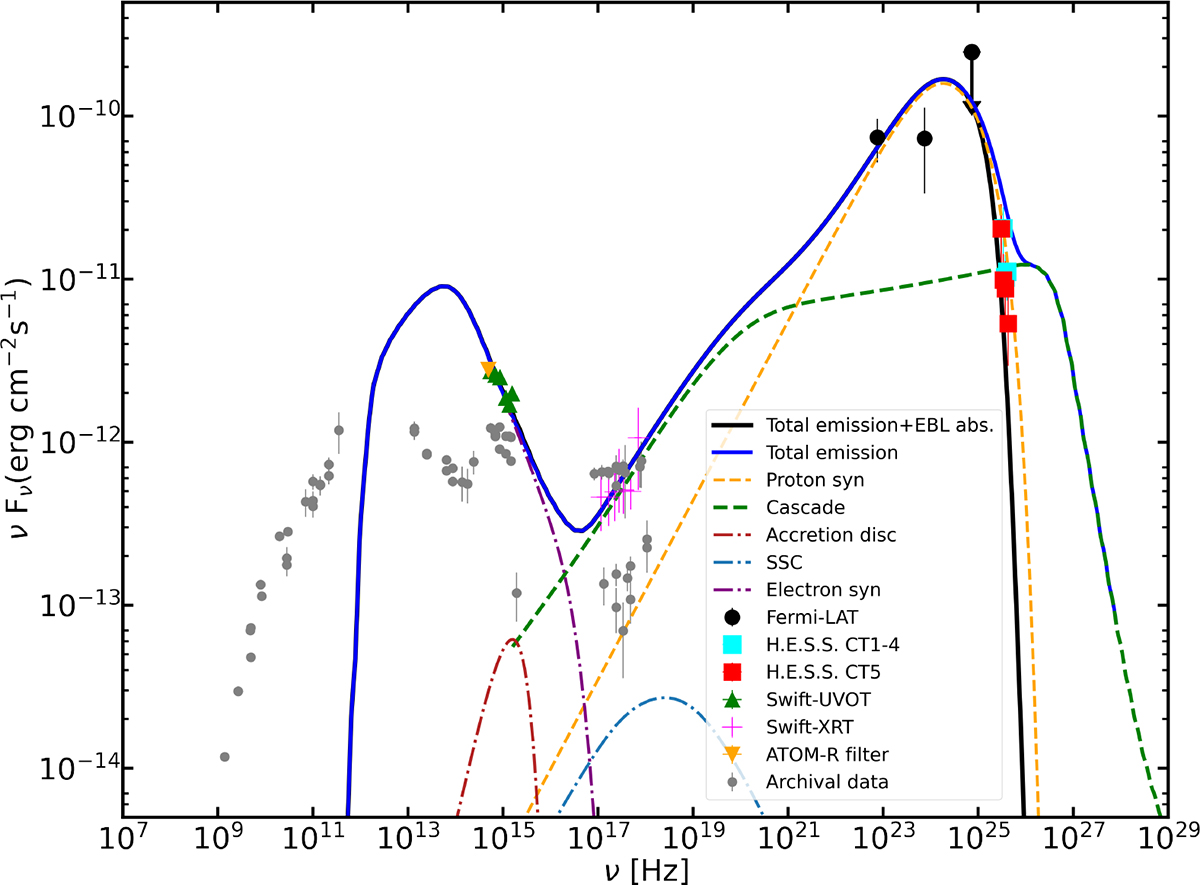
Fig. 4.

image

Download original image

Spectral energy distribution of PKS 0346-27 during the H.E.S.S. detection night of 3 November 2021 fit with a hadronic single-zone model. The individual radiation components are shown without EBL absorption, and they add up to the total intrinsic model SED shown by the solid blue curve. The solid black line shows the total model curve accounting for EBL absorption following the Finke et al. (2010) model. The Fermi-LAT emission is explained by the proton-synchrotron component while the casacade component explains the H.E.S.S. emission. The archival flux points are from https://tools.ssdc.asi.it/SED/. We refer to Table 2 for model parameters.

Current usage metrics show cumulative count of Article Views (full-text article views including HTML views, PDF and ePub downloads, according to the available data) and Abstracts Views on Vision4Press platform.

Data correspond to usage on the plateform after 2015. The current usage metrics is available 48-96 hours after online publication and is updated daily on week days.

Initial download of the metrics may take a while.