Open Access

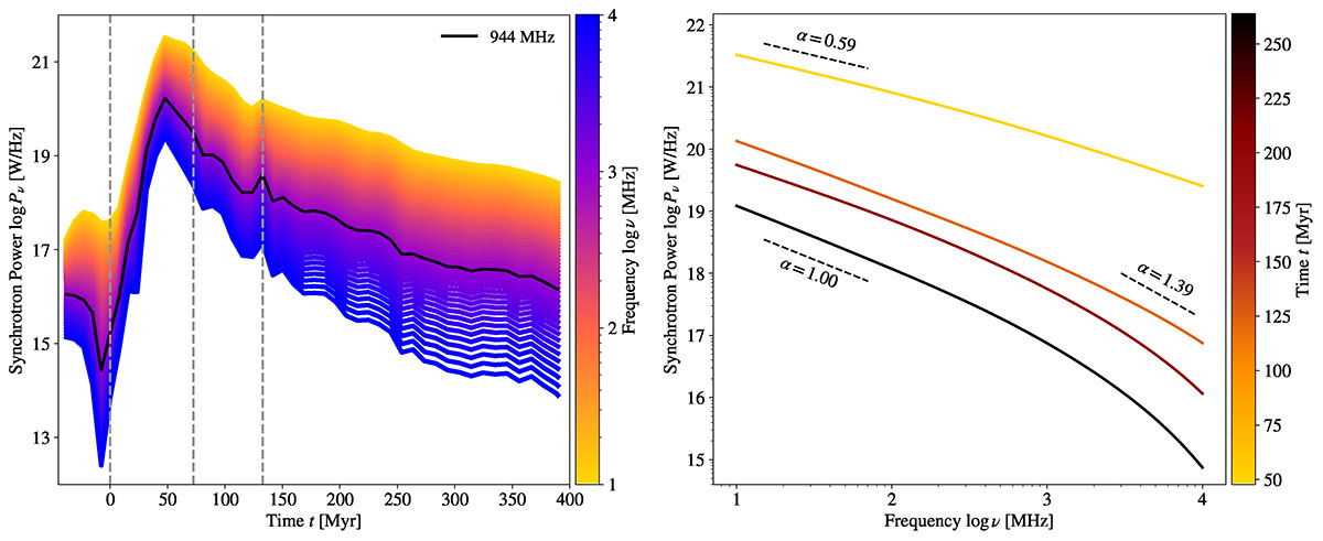
Fig. 4.

image

Download original image

Total synchrotron power and spectrum Pν over time t. Left: Time-dependent luminosity profile for varying frequencies ν. The solid black line represents ν = 944 MHz. The vertical dashed lines indicate the three time steps at which the simulated ORC was visualised in Fig. 1. Right: Associated emission spectrum for four equidistant time steps. Here, the dashed lines indicate the local spectral index according to Pν ∝ να.

Current usage metrics show cumulative count of Article Views (full-text article views including HTML views, PDF and ePub downloads, according to the available data) and Abstracts Views on Vision4Press platform.

Data correspond to usage on the plateform after 2015. The current usage metrics is available 48-96 hours after online publication and is updated daily on week days.

Initial download of the metrics may take a while.