Open Access

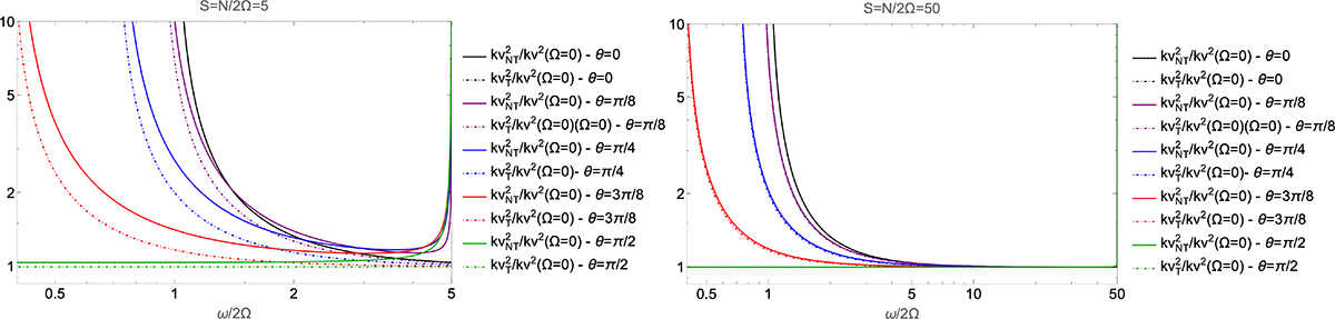
Fig. A.1.

image

Download original image

Ratios kV2NT/kV2(Ω = 0) and kV2T/kV2(Ω = 0) as a function of the normalised frequency ω/2Ω for different colatitudes θ ≡ {0,π/8,π/4,3π/8,π/2} in the weakly stratified (N/2Ω = 5; left panel) and in the strongly stratified (N/2Ω = 50; right panel) cases.

Current usage metrics show cumulative count of Article Views (full-text article views including HTML views, PDF and ePub downloads, according to the available data) and Abstracts Views on Vision4Press platform.

Data correspond to usage on the plateform after 2015. The current usage metrics is available 48-96 hours after online publication and is updated daily on week days.

Initial download of the metrics may take a while.