Press Release
Open Access

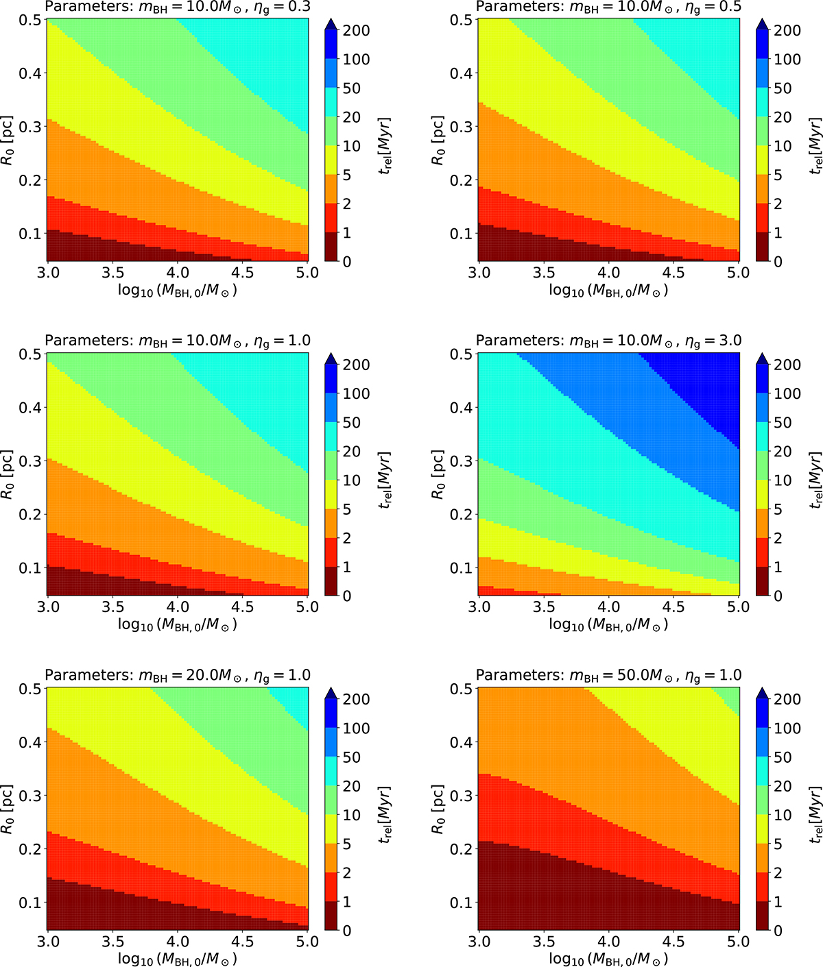
Fig. A.2.

image

Download original image

Time, trel, necessary for the cluster to reach the relativistic phase of its collapse for various values of its total mass, MBH (assumed to be constant and formally denoted by its ‘initial’ value, MBH, 0, for a more direct comparison with Fig. 8 in Kroupa et al. 2020), and initial radius, R0. The mass of the individual stellar black holes, mBH, and the ratio ηg = Mg/MBH, where Mg is the mass of the gas within the cluster, are given at the top of each panel. Values of the initial radius R0 cover the interval (0.05,0.5) pc.

Current usage metrics show cumulative count of Article Views (full-text article views including HTML views, PDF and ePub downloads, according to the available data) and Abstracts Views on Vision4Press platform.

Data correspond to usage on the plateform after 2015. The current usage metrics is available 48-96 hours after online publication and is updated daily on week days.

Initial download of the metrics may take a while.