Open Access

Fig. 1

image

Download original image

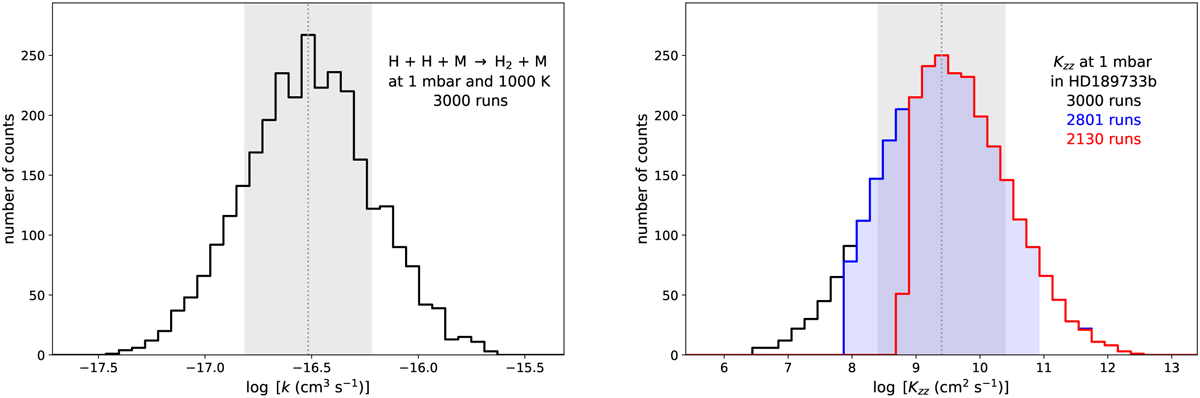
Left panel: random lognormal distribution of the rate coefficient of the reaction H + H + M → H2 + M, evaluated at 1 mbar and 1000 K, for the models where (photo)chemical kinetics is perturbed. Right panel: random lognormal distribution of Kzz around the nominal value for the HD 189733b models where vertical mixing is perturbed, where the black histogram refers to the whole set of 3000 runs, the blue one to the set of converged runs, and the red one excludes those runs with a relaxed convergence (see text). The runs actually considered for the sensitivity analysis are those converged but excluding the right wing to have a symmetric distribution (blue area). In both panels, the vertical dotted line indicates the nominal value and the shaded gray area the range ±1 σ around it.

Current usage metrics show cumulative count of Article Views (full-text article views including HTML views, PDF and ePub downloads, according to the available data) and Abstracts Views on Vision4Press platform.

Data correspond to usage on the plateform after 2015. The current usage metrics is available 48-96 hours after online publication and is updated daily on week days.

Initial download of the metrics may take a while.