Open Access

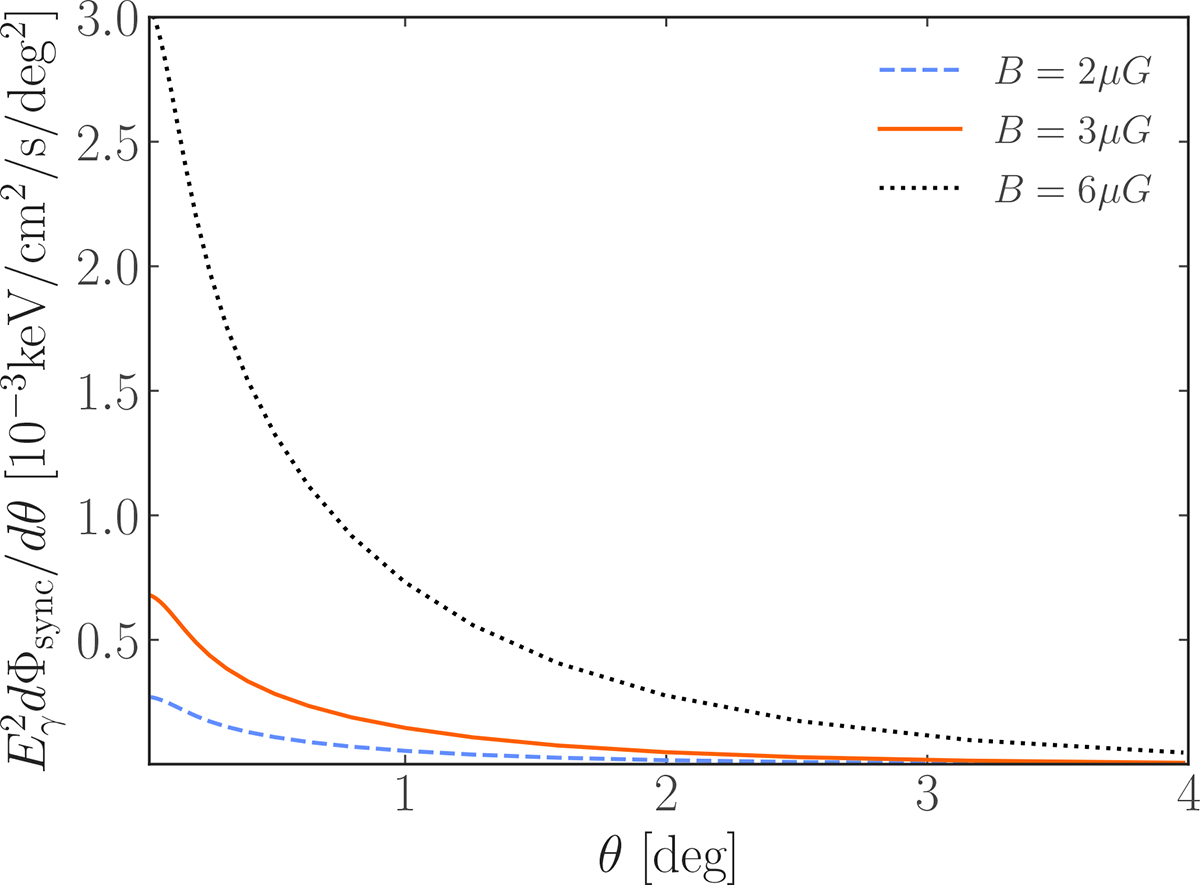
Fig. 2.

image

Download original image

Model prediction of the surface brightness of the Geminga X-ray halo flux from synchrotron emission, integrated over the 4−12 keV band within four degrees of the center. The magnetic field strength varies from 2 μG (dashed blue line) to 6 μG (dotted black line).

Current usage metrics show cumulative count of Article Views (full-text article views including HTML views, PDF and ePub downloads, according to the available data) and Abstracts Views on Vision4Press platform.

Data correspond to usage on the plateform after 2015. The current usage metrics is available 48-96 hours after online publication and is updated daily on week days.

Initial download of the metrics may take a while.