Open Access

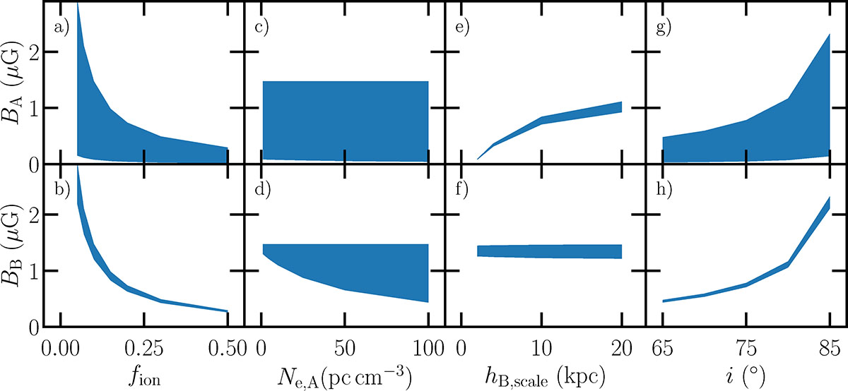
Fig. C.1.

image

Download original image

Range of magnetic field strengths in the sightlines of image A and image B calculated with different parameter ranges for ionization fractions (panels a and b), electron column densities assumed at the position of image A (panels c and d), magnetic scale heights (panels e and f), and inclinations (panels g and h).

Current usage metrics show cumulative count of Article Views (full-text article views including HTML views, PDF and ePub downloads, according to the available data) and Abstracts Views on Vision4Press platform.

Data correspond to usage on the plateform after 2015. The current usage metrics is available 48-96 hours after online publication and is updated daily on week days.

Initial download of the metrics may take a while.