Open Access

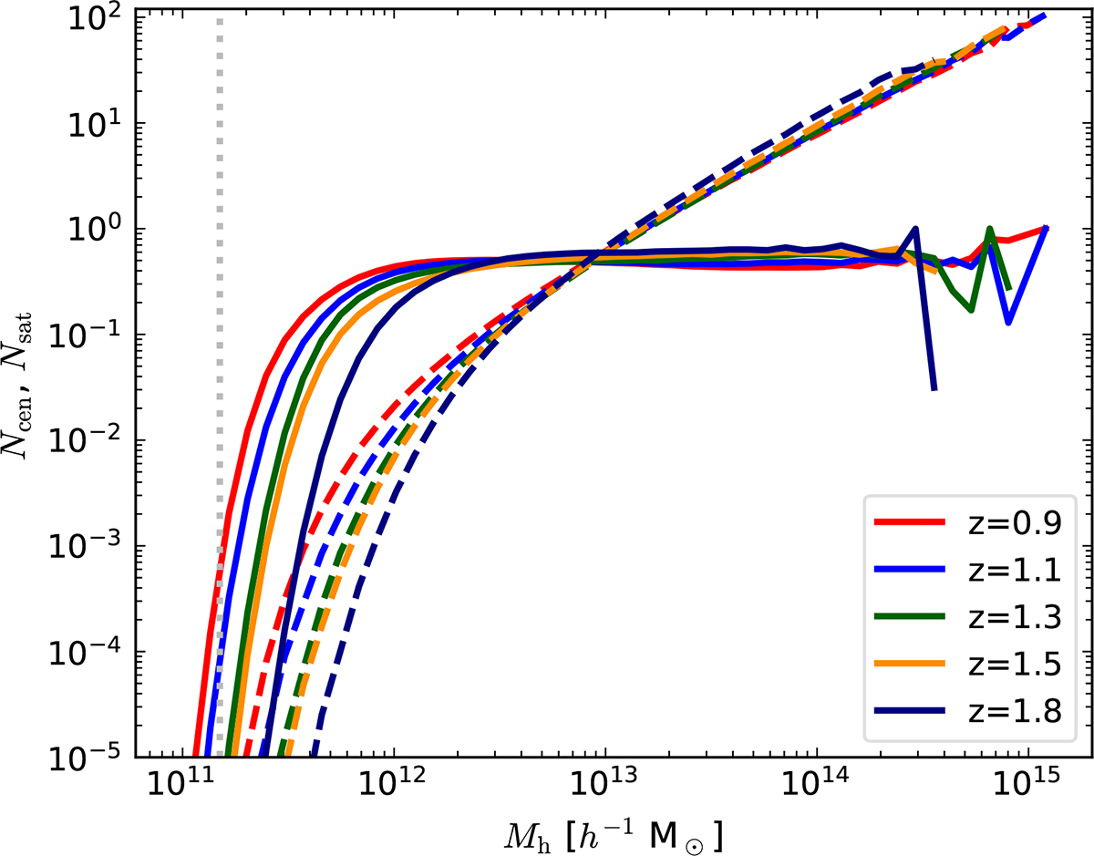
Fig. 5.

image

Download original image

HOD curves Ncen(Mh, z) and Nsat(Mh, z) as continuous and dashed lines, respectively, measured from the Flagship mock catalogue as described in the main text. The five colours give the curves at five redshifts, as specified in the legend. The vertical dotted line gives the minimum halo mass in the Pinocchio mocks.

Current usage metrics show cumulative count of Article Views (full-text article views including HTML views, PDF and ePub downloads, according to the available data) and Abstracts Views on Vision4Press platform.

Data correspond to usage on the plateform after 2015. The current usage metrics is available 48-96 hours after online publication and is updated daily on week days.

Initial download of the metrics may take a while.