Open Access

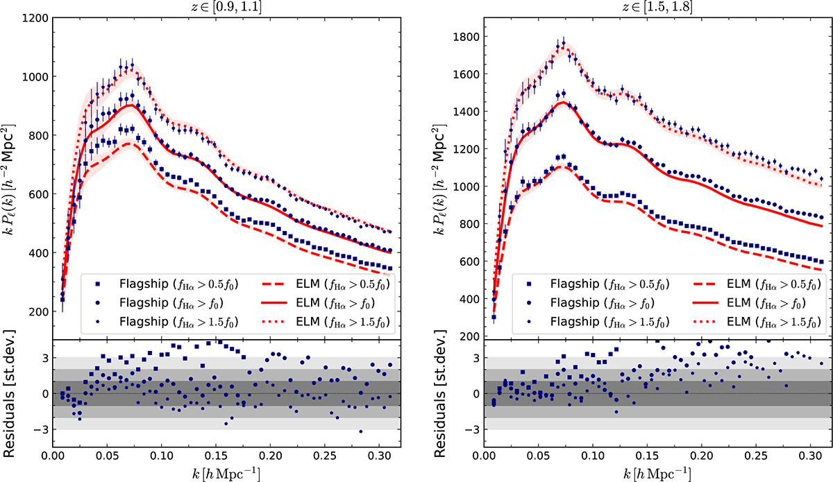
Fig. 10.

image

Download original image

Power spectrum monopole of galaxies in the Flagship mock and in the EuclidLargeMocks for fHα > 0.5f0, f0, and 1.5f0, and for z ∈ [0.9, 1.1] (left panel) and z ∈ [1.5, 1.8] (right panel). The lower panels show the residuals of the Flagship measurements for the three flux limits with respect to the average EuclidLargeMocks in units of the standard deviation of the latter.

Current usage metrics show cumulative count of Article Views (full-text article views including HTML views, PDF and ePub downloads, according to the available data) and Abstracts Views on Vision4Press platform.

Data correspond to usage on the plateform after 2015. The current usage metrics is available 48-96 hours after online publication and is updated daily on week days.

Initial download of the metrics may take a while.