Open Access

Fig. 2.

image

Download original image

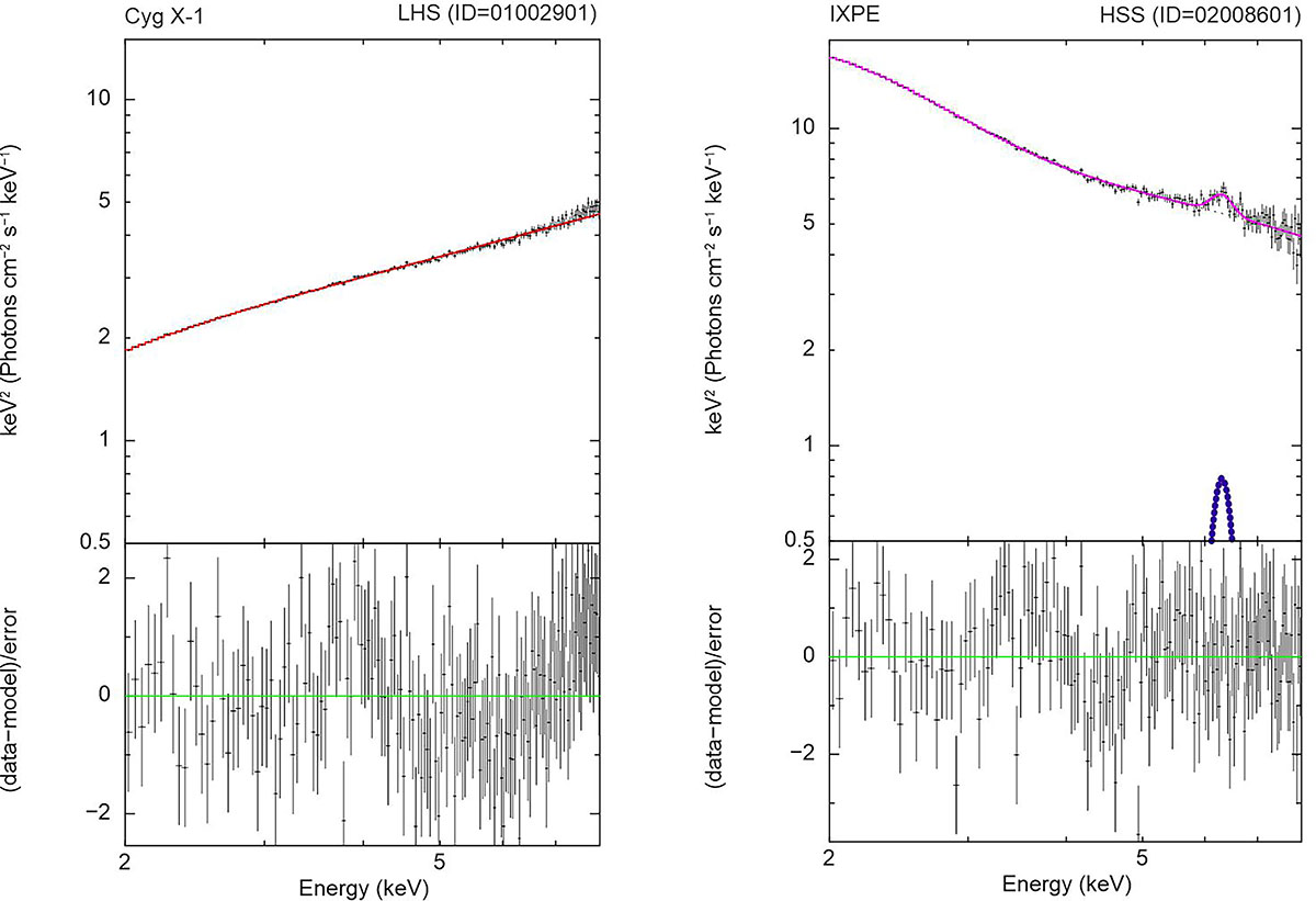
IXPE spectra of Cyg X-1 for which X-ray polarization is detected during the LHS and HSS. The photon index is Γ = 1.4, Eline = 6.5 keV, and χred2 = 158/149; see left panel (ID = 01002901). For the HSS spectrum, these parameters are Γ = 2.4, Eline = 6.4 keV, and χred2 = 151/149; see right panel (ID=02008601). The best-fit model consists of const*tbabs*(comptb + Gaussian).

Current usage metrics show cumulative count of Article Views (full-text article views including HTML views, PDF and ePub downloads, according to the available data) and Abstracts Views on Vision4Press platform.

Data correspond to usage on the plateform after 2015. The current usage metrics is available 48-96 hours after online publication and is updated daily on week days.

Initial download of the metrics may take a while.