Open Access

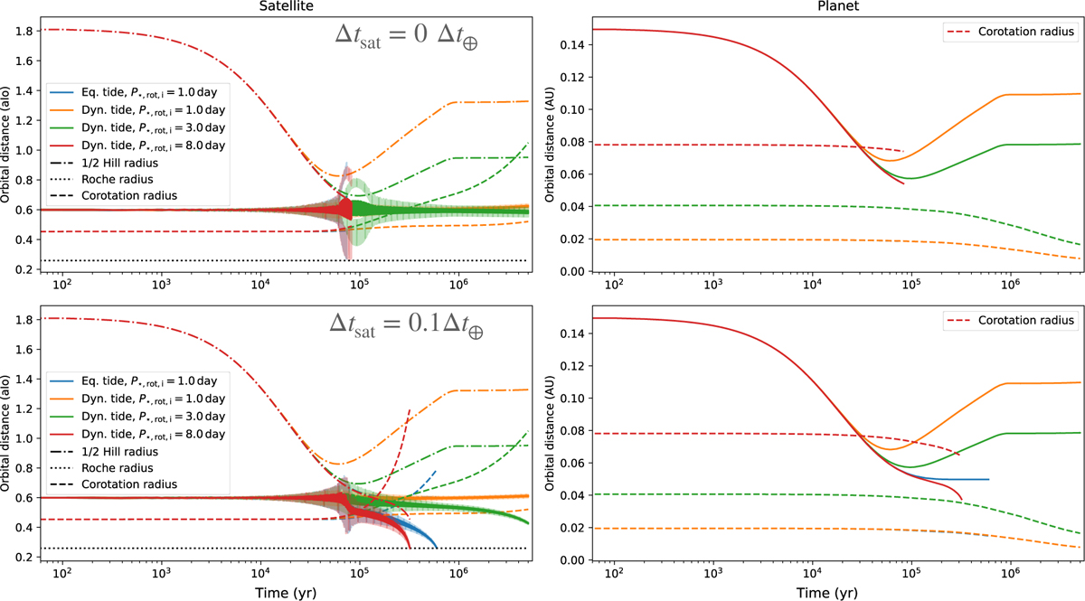
Fig. 9

image

Download original image

Evolution of the semimajor axis of a 1.0 MIo satellite (left column) and its planet (right column) for different initial rotation periods of the star and two different satellite dissipations: 0 Δt (top row), and 0.1 Δt (bottom row). The disk lifetime is 35 000 yr, and the disk density 1000 g cm−2.

Current usage metrics show cumulative count of Article Views (full-text article views including HTML views, PDF and ePub downloads, according to the available data) and Abstracts Views on Vision4Press platform.

Data correspond to usage on the plateform after 2015. The current usage metrics is available 48-96 hours after online publication and is updated daily on week days.

Initial download of the metrics may take a while.