Open Access

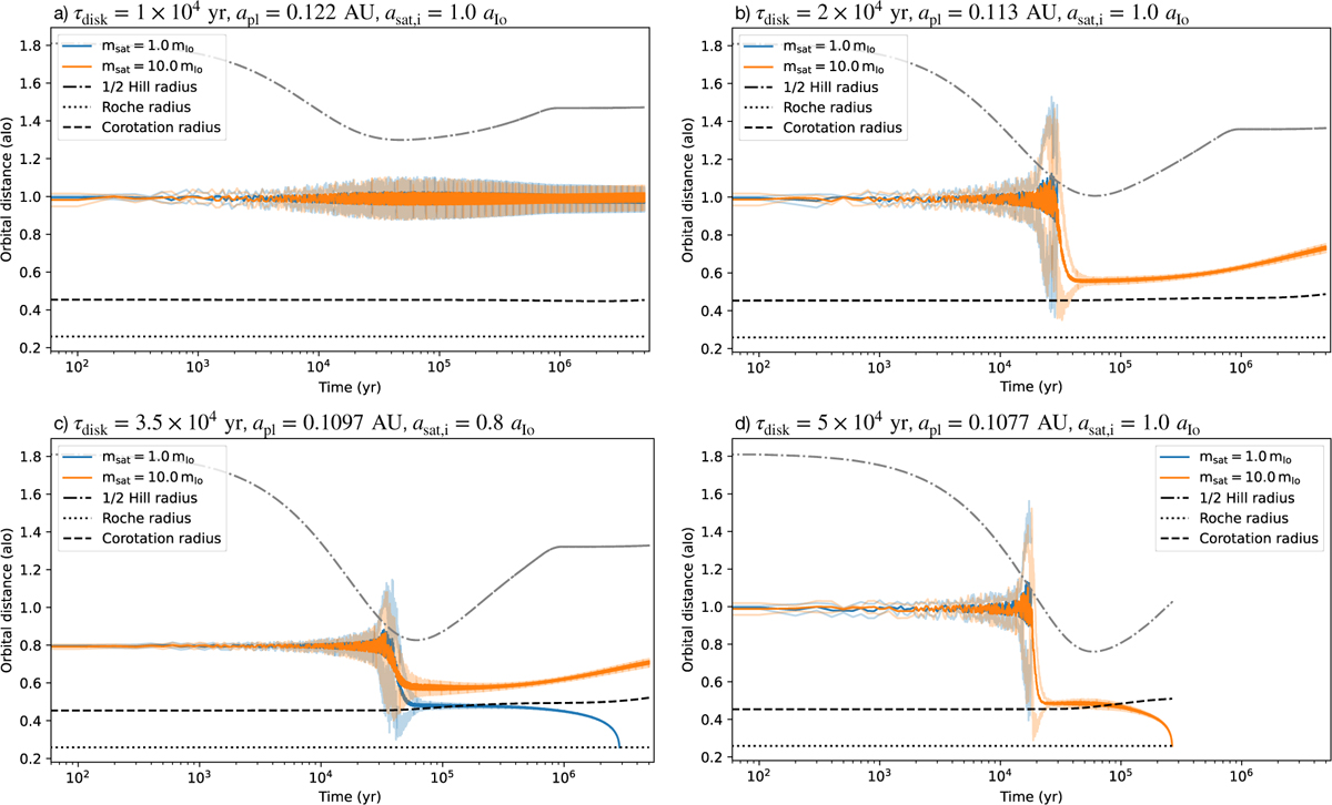
Fig. D.2

image

Download original image

Evolution of the semimajor axis of a 1.0 MIo and a 10 MIo satellite on initially wide orbits for different disk lifetimes (i.e., different final planet distances). For all these cases, the initial rotation of the star is 1 day and the dissipation is Δtsat = 0.1 Δt (which corresponds to the Col. 2, fourth row of Figs. 8 and D.1): (a) τdisk = 1 × 104 yr, asat,i = 1.0 aIo; (b) τdisk = 2 × 104 yr, asat,i = 1.0 aIo; (c) τdisk = 3.5 × 104 yr, asat,i = 0.8 aIo; (d) τdisk = 5 × 104 yr, asat,i = 1.0 aIo. These combinations were chosen to highlight some behaviors.

Current usage metrics show cumulative count of Article Views (full-text article views including HTML views, PDF and ePub downloads, according to the available data) and Abstracts Views on Vision4Press platform.

Data correspond to usage on the plateform after 2015. The current usage metrics is available 48-96 hours after online publication and is updated daily on week days.

Initial download of the metrics may take a while.