Open Access

Fig. 7

image

Download original image

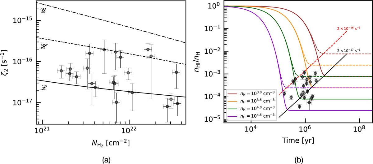
(a) Values of ζ2 inferred from HINSA abundances. The solid, dashed, and dash-dotted black curves denote the theoretical CR attenuation models ℒ, ℋ, and 𝒰 from Padovani et al. (2024). (b) Time dependence of atomic fraction at nH = 103.0, 103.5, 104.0, and 104.5 cm−3 with the assumption of ζ2 = 2 × 10−17 (solid) and 2 × 10−16 s−1 (dashed), colored with orange, yellow, green, and purple. The oblique black and red lines represent two cutoffs at which solutions are close to chemical equilibrium under ζ2 = 2 × 10−17 and 2 × 10−16 s−1.

Current usage metrics show cumulative count of Article Views (full-text article views including HTML views, PDF and ePub downloads, according to the available data) and Abstracts Views on Vision4Press platform.

Data correspond to usage on the plateform after 2015. The current usage metrics is available 48-96 hours after online publication and is updated daily on week days.

Initial download of the metrics may take a while.