Open Access

Fig. B.1

image

Download original image

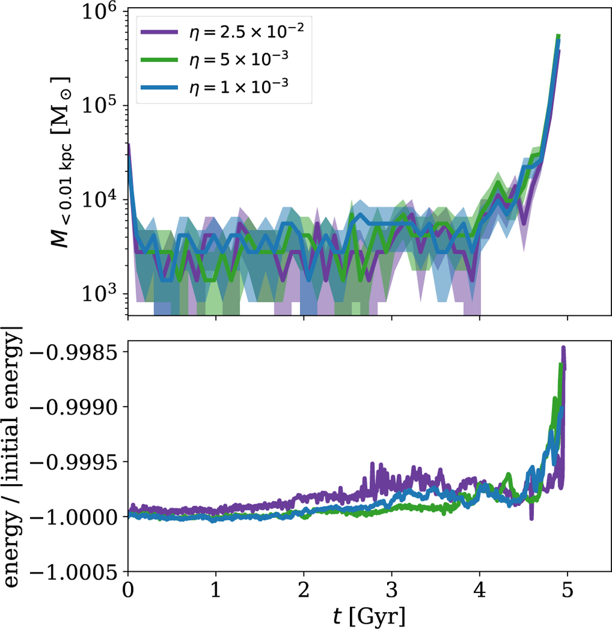
Variation of the gravitational time step parameter η. In the upper panel, we show the mass enclosed within the inner 10 pc as a function of time. The lower panel gives the evolution of the total energy relative to the absolute initial value. The shown simulations are for the low resolution of N = 2 × 106 and share the same parameters except η, which is varied as indicated in the legend. All parameters are given in Table A.1 under the names H, I, and J. The shaded regions in the top panel indicate the uncertainty estimated based on shot noise.

Current usage metrics show cumulative count of Article Views (full-text article views including HTML views, PDF and ePub downloads, according to the available data) and Abstracts Views on Vision4Press platform.

Data correspond to usage on the plateform after 2015. The current usage metrics is available 48-96 hours after online publication and is updated daily on week days.

Initial download of the metrics may take a while.